在ChainNode白皮书解密读书会01期活动中,比原链高级研究员刘秋杉带领大家领读「MOV:下一代去中心跨链Layer2价值交换协议」白皮书,得到了很多粉丝的关注,其中gentledog的读书帖「关于MOV巡查官制度的几点思考」获得了读书活动的第一名。
正文如下:
根据白皮书,MOV中有巡查官一职防止Bytom侧链作恶。我就在想,这个制度是否存在漏洞呢?经过一番思考,似乎有以下几种攻击方式:
复制交易攻击
巡查官发现问题并在主链上发起一笔交易,有人获取这笔交易内容后,提高手续费或者直接向网络隐瞒这笔交易,然后再发起一笔同样内容的交易,从而窃取巡查官的劳动成果。在这种情况下,巡查官能够获取的利益几乎为零,甚至为负,这样就不会有动力去巡查了。
这种攻击是有对策的。有一样东西是作恶者无法复制的:钱包地址!可以采取提案+证据的模式,巡查官可以先提交承诺,等区块确认后,再公布数据。这样就能比较完美地解决这个问题了。
Web3社区构建平台Galxe集成LayerZero:金色财经报道,Web3社区构建平台Galxe在社交媒体表示,全链互操作协议LayerZero已经整合Galxe,3个合作伙伴将通过在Galxe上开展活动。[2023/8/13 16:23:13]
假装作恶攻击
当网关节点给予的奖励大于侧链作恶者所遭受的损失时,可以采取这种攻击。侧链作恶者可以假装作恶,然后串通巡查官抢先提交作恶的证据,从网关节点处取奖励,当奖励大于作恶者所受到的惩罚时,作恶者就获利了。这种攻击说明,网关节点给予的奖励是有上限的,它不能大于作恶者所受到的惩罚,并不一定与作恶程度对等。
DOS攻击
当侧链作恶且涉及金额庞大时,在网络上发起垃圾交易,暂时阻塞网络,使得巡查官的监察成本远大于他所能获得的奖励(由于假装作恶攻击,奖励是有限的,它并不与作恶程度对等),一旦争议期过去,作恶者就得逞了。DOS攻击并非不可能(参见以太猫和EIDOS空投),作恶者可以选择在网络拥堵的时候发起攻击以减小成本。
Uniswap社区未通过费用转换提案:金色财经报道,Uniswap社区未通过费用转换提案。投票于5月25日重新开放后,现已结束,超过45%的人支持免费,而42%的人支持收费。该费用相当于v3池中池费用的1/5。超过4000万个UNI代币参与了投票。社区成员可以选择向流动性提供者收取相当于所有Uniswap V3池中池费用的1/5、1/6或1/10的费用,或者根本不收取转换费用。[2023/6/2 11:53:12]
先撇开DOS攻击不谈,下面试从经济角度分析巡查官制度。先取一个观察时间段,设在这个观察时间段内,巡查官的巡查成本为U,网关节点的奖励为V,作恶者被举证时遭受的损失为R,作恶成功时获得的收益为S,作恶者作恶的概率为p,巡查官的平均巡查人数为q,某单个巡查官巡查的概率为t。这里假设巡查官的机会是均等的,即当巡查官的巡查人数为q时,成功举证的概率为1/q。则某单个巡查官和作恶者的博弈如下图:
谷歌招聘Web3社区及合伙经理:金色财经报道,谷歌云发布Web3岗位,招聘Web3社区及合伙经理,需满足以下要求:3年社区管理经验;3年跨功能程序/项目及navigating programs技术管理经验;多链/层协议经验;多个DeFi协议(如Aave、Curve、Uniswap、Pancakeswap等)经验。此外,工作职责要求为,帮助制定跨越整个 Web3 生态系统的多样化和强大的开发人员社区的战略。代表 Google Cloud 授权 Web3 开发人员并支持跨公共区块链的合作伙伴。[2022/6/3 3:59:41]

则某单个巡查官的期望支付为

一律师警告TON社区不要贸然启动区块链网络TON:纽约市资深律师Manny Alicandro警告TON社区在第二巡回上诉法院发表意见之前,不要启动其区块链网络TON。Alicandro认为现在不能贸然轻率行动。此前消息,Telegram已向第二巡回上诉法院提交了一份简短的上诉通知书。另外,TON Labs发言人表示,没人能够阻止TON的发布,“分叉”主网是选择之一。(cointelegraph)[2020/3/29]
。
在完全竞争的条件下,某单个巡查官的期望支付应当接近于0。由此可以推算出

。
由此可以得知,当

独家 | EOS社区意见领袖Saro:Voice必须符合用户所在的每个司法管辖区的法规:在今日金色财经直播的OKEx矿池第二期AMA中,对于OKEx矿池的负责人Alina的提问“?Blockone特别重视Voice的合规,这是为什么呢?”EOS社区意见领袖、eosDAC核心成员Saro表示Block One宣布第一阶段推广仅针对美国公民。监管因国家而异,因此通过确保遵守美国法规,他们可以解决可能在全球范围内发生的所有监管问题,而不必事后进行交火。 此外,对Voice的合规性是9月SEC解决方案的一部分。Voice的核心功能是身份验证,关于证券监管,可以有效隔离美国用户。
关于银行法规,Voice与用户互动的方式已包含AML / KYC要求关于确保遵守美国证券法,B1考虑到两个方面:
该代币不是“投资合同”。 Voice和大多数项目的目的不是将其作为投资合同(即用户购买以获得收益的东西),而是将代币计为具有特定用途的实际加密货币。但是SEC最近一直将大多数加密货币解释为一种证券。
Voice固有的身份特征使其可以将美国人排除在拥有代币之外,或者按照他们的提议在地理上逐步推广。由于大多数加密项目无论如何都必须从用户那里获取KYC信息,因此设计整个项目以便利用身份识别是很明智的,这也是B1对Voice所做的。Voice必须符合用户所在的每个司法管辖区的法规。[2020/2/14]
时,q=0。进一步的,我们可以计算作恶者的最佳作恶概率。这里不妨设

且

,于是

,

。
则作恶者的期望收益为

在区间

上,该式单调递减。所以,在

处取得最大值。所以,作恶者的最佳作恶概率为

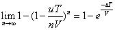
,此时无人巡查!上述的“观察时间段”是指一个充分小的、不可分割的时间段。如果是一个较长的时间段T,怎样计算作恶概率呢?这里设巡查官在单位时间内的巡查成本为u。将时间段T等分为n(充分大)个小时间段。则每个小时间段内的作恶概率约为

。则n个时间段内作恶发生的概率约为

。

所以,在较长时间段T内,作恶发生的概率为

。
结论
我们可以得出以下结论:
1.巡查官制度可以减小侧链作恶的概率;
2.侧链作恶的概率与巡查官的巡查成本U和网关节点的奖励V有关,减小U或增加V都能减小作恶的概率;
3.侧链作恶的概率与作恶成功时获得的收益S无关,也就是说减少侧链上托管的资产无助于减小作恶的概率;
4.侧链作恶的概率与作恶者被举证时遭受的损失R无关,也就是说在不增加网关节点的奖励的前提下,只增加侧链运营者的保证金无助于减小作恶的概率;
5.由于假装作恶攻击,网关节点的奖励V无法无限增加。巡查官的巡查成本U也无法无限减小。巡查官制度无法杜绝作恶的发生。
来源:链闻 撰文:潘致雄 区块链技术,特别是以比特币为首的密码货币,有一个核心特点就是「去中心化」,这可以避免单一节点故障带来的问题.
来源:小葱区块链 当地时间周二,芝商所宣布将于2020年1月13日推出比特币期权。据介绍,CME推行比特币期权是为了帮助机构与专业交易者管理比特币现货风险敞口,并在受监管的交易环境下进行比特币期.
作者:JeremyWall 翻译:岳巍 来源:区块链前哨 导语:?比特币创始人中本聪的真实身份可能是加密软件E4M和TrueCrypt的设计者PaulSolotshi.
作者:LouKerner 编译:共享财经Neo 摘要:讨论多抵押品Dai近日,CryptoMondays和DeFiNYC举办了一个关于多抵押品Dai的电话会议.
来源:中国证券报·中证网中国证券报记者独家获悉,上海市金融稳定联席办和人民银行上海总部互金整治办于11月14日联合下发《关于开展虚拟货币交易场所排摸整治的通知》.
过去一天,比特币鲸鱼活动加剧,区块链上进行了惊人的大笔交易。但是一个特别的区块引人注目。 图片来源:Pixabay一个区块包含了几乎所有比特币的5%在区块高度606,641,在这个10分钟窗口内.