作者:StevenLi
来源:IPFS原力区
老子曰:“人法地、地法天、天法道、道法自然”。在区块链的实践中,由于是建立CodeisLaw的体系,遵循InMathWeTrust的法则。在一个不受个体控制的网络,遵循自然的法则尤其重要。我提倡Filecoin的设计从简、自然。也是这个道理。
自然常数e,是一个神奇的数,在数学中又极为自然。本文讲一讲Filecoin的共识机制的实现进化与自然常数e的关系。
内容提要
一、自然常数e
二、初期预期共识空块率过高:1/e
三、预期共识的实现是一个不段发现的过程
四、tipset区块数预期提升,安全性和效率的兼顾
五、让每一个字节都参与投票:优雅的密码抽签+e
数学常数e
e被成为自然常数,在数学家的眼里,这个常数非常自然。但是,对于普通人而言,对于e,由于没有形象化的描述,就很难理解。本文通过e在Filecoin中的应用,希望能够找到一些点,能够帮助大家1)了解Filecoin的一些设计;2)通过Filecoin得到一点e的形象化的描述和印象。
常见的比较复杂的有意思的数学常数有两个,一个是?π,一个是e。大家对π都非常熟悉,因为它有一个非常形象化的名字,叫圆周率,也就是说是任何一个圆的周长和直径的比值。非常形象,非常容易理解。小学不学的话,初中总会学到了。
俞波涛:无锡检察机关利用区块链等技术 破解诉讼难题:江苏省无锡市人民检察院党组书记、检察长俞波涛撰文指出,近年来,无锡检察机关不断加大公益诉讼的探索力度,积极运用无人机巡航、区块链、卫星遥感技术、快检中心等科技供给破解线索发现、调查取证等难题,这已成为无锡检察公益诉讼的鲜明特点和独特优势。下一步,我们将继续发挥好这一优势,在守护国家利益和社会公共利益上彰显更强作用。(人民网)[2020/3/29]
其实e是与?π同等重要的一个数学常数,在数学中的使用一点也不比π少。比如就在我们今天所讨论的Filecoin区块链中,e在很多地方被使用,而π则不然,基本上没有被用到。
π=3.1415926535897......
e=2.718281828459045......
π和e同为超越数,即不是代数数,当然也是无理数,无限不循环小数。
但其实,e和?π在数学中有非常紧密的关系。甚至可以说,e就是?π的另一种表示方法。为什么呢,请看最优雅数学公式-欧拉公式:

为什么优雅,这个一个简单的公式把数学中的5个元素十分简单地统一在一起了。就像物理学家希望统一力场一样,数学家也有把总结简洁规律的偏执。
动态 | 360利用区块链等前沿技术 助力汽车信息安全:人民网发布《信息安全将成为汽车安全主战场》一文,文中指出,汽车信息安全之于汽车企业,一如手机信息安全之于手机制造商。奔驰与360的合作可谓是汽车信息安全的典型案例,360汽车安全大脑的“新盔甲”是一个分布式智能系统,集合百万亿级安全大数据、知识库以及360安全专家库资源,综合利用人工智能、大数据、云计算、区块链等前沿技术,构建整套实时防护体系,从硬件到云端进行防护,形成安全闭环后从而减少风险产生。[2020/1/14]
这个公式也表达了e和?π的简单直接的关系。当然,他们之间还有一些有意思的关系,比如:

但是,这些仿佛把事情更加复杂化了,对于e本身的理解并没有帮助。到底e是什么呢?数学中会讲,e是自然对数的底,它的一个总要特点就是e^x的导数还是e^x,同时,e可以通过下式来表达和计算:

稍微形象一点的表达,就是在复利的计算上,e表达一个在一段时间内翻倍增长的利率,进行极限的连续复利计算能够达到的极限值。也就是说,如果年利率是100%,你如果无限细分一年到n个时间段,那么每个时间段的利率为1/n,而最终你能得到的连本带利的收入为e倍,也就是2.7倍多一些。
声音 | 王彦鑫:及早布局区块链技术 积极探索山西转型发展新路子:据山西新闻网12月23日消息,山西转型综改示范区管委会研究员王彦鑫表示,目前,区块链作为一种新技术、新思维、新理念,各国基本处于同一起跑线。面对千载难逢的良机,我们需要紧紧把握,及早安排布局、及早动手推进,狠抓技术和应用,积极探索山西转型发展、赶超发展的新路子。[2019/12/23]
这仍然不够形象,那么下面映射到Filecoin的共识机制来看一看。
Filecoin预期共识与自然常数的关系
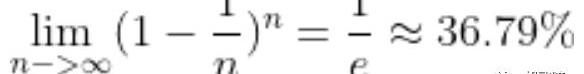
先来复习一下Filecoin白皮书里面描述的预期共识。在go-filecoin的早期实现中,采用的是简单的预期共识,也就是说,每一个矿工按照自己的算力与总算力的比来获得出块权的概率。因为所有矿工的算力之和等于总算力,所以系统每一轮的总出块概率的期望值为1。简单来说,就是每一轮平均出一个块,但是,每个矿工独立计算,因此,每一轮的出块数可能是各种各样的。
那么在这种情况下,我们建立一个简单模型来进行一个推演。假设系统中的矿工数为n,每个矿工的算力占比为1/n,那么,每一轮呢每个矿工的出块概率为1/n。
这样,一轮中出现空块的概率为:

动态 | 日本九州大学初创企业正应用区块链技术 着手开发新的电力交易系统:据日经新闻7月10日消息,由日本九州大学孵化的的人工智能初创企业AIBOD正应用区块链(分布式账本)技术,着手开发可在个人间进行家庭电力交易的新系统。[2019/7/10]
如果n足够大,那么,可以求得:

也就是空轮的概率超过三分之一,这个就太高了。
那么出块数为1的概率有多大呢,可以简单做如下计算:

仍然只有三分之一多一点。剩下的不到三分之一的概率都是多块的轮次。这个结论与开发网当时的测试是完全吻合的。
从这里,我们找到了一个对于自然常数e的一个更形象化的解释,那就是:在一个有很多人参与的独立投票选举中,每个人的赢得选举的概率相同,同时预期赢得选举人数为1的情况下,不能得出选举结果的概率为e的倒数,也就是1/e。
预期共识的实现是一个不断发现的过程
开发网出现的空块率过高的情况,我们做了模拟,并与Filecoin研究开发团队进行了讨论。显然,这么高的空块轮次比例是不好的,这是的区块时间不固定,交易时间预测起来也比较困难。
金色财经独家分析 比特币预测:A面是技术 B面是情绪:长久以来,在比特币价格方面人们看了太多“支撑点”、“压力位”以及MA,当分析师不断提出的8600、9000、10000美元等关键位置突破后,涨跌依然还没有定论,大涨大跌不为分析师的技术所动,股市那一套似乎不很奏效。金色财经独家分析,目前加密货币市场涨跌的规律还尚未形成,用股市分析来看确实有些形式大于内容,但这并不代表技术不可靠,抛开股市技术,可以看一看供需方面的技术:日前FundstratQuantamental创建了价格/矿工的盈利率的新的比特币定价标准,从生产和需求的角度来谈,让人更加信服;
即便如此,技术也只是比特币价格的A面,B面仍然是情绪等非技术因素。由于加密货币背后的“实体”仍然不易找到,看政策,看期望,看整个市场带来的各类利好或利空。日前韩国一项调查中显示依据论坛的评论预测价格准确率超过了80%,可谓十分可靠的“情绪技术指标”了。加密市场的这种现象是可以理解的,毕竟即使在股市,“随便买买”的盲目,没有太多依据的看心情也是大有人在的。但应该反思的是,加密货币市场应该变得更有据可循一些,这需要更加严格风险控制体系、与实体经济的进一步结合,同时也需要大机构和专业投资者的进一步加入,那时候情绪依然是情绪,但技术会更加具有参考价值。[2018/5/14]
那么,一个简单的改动是什么呢?那就是增加每一轮的区块预期数量。因为预期共识本来一轮就可能出现多个区块,在实现中采用tipset的方式进行组合,那么增加区块的预期数量,对于设计实现而言非常简单。
在测试网之前,Filecoin实现引入了预期每轮区块数这个概念,这个被定义为E。当前默认:E=5
既然,预期区块数提高了,最简单的方法就是把每个矿工的出块概率提高5倍。但是,矿工出块的计算采用掷骰子的方式。也就是产生一个256位空间中的一个数,来比较自己的算力占比,从而判断是否拥有出块权。这里就有一个数据越界的问题。Filecoin的实现在这个判断上走过三个阶段:
阶段一:每个矿工按照自己的算力再进行切分,分别按照更小的份额进行选举,如果赢得选举就获得一票。相同默认算力都按照每25个sector来进行统一切分。这个办法的好处是每一个选举人算力都基本一样,进行公平选举。但是,由于每25个sector都要进行单独计算,每一个部分都需要I/O访问,时间消耗较大。Filecoin团队的最初目的是把这个出块权和时空证明放在一起。但是,最后从安全的角度来考虑,由于计算相对复杂,还是放弃了。
阶段二:直接极致简化,不考虑越界的问题,直接乘以5进行比较计算。这个是在时空证明已经通过WindowedPoSt替代SurprisedPoSt的情况下的一个简化措施。但是,这样做有两个问题:1)对于算力大于20%的矿工肯定是吃亏的;2)当矿工算力足够大时,一定能够赢得选举。这第二个问题比较严重。我们慎重提出,这是一个安全问题,应该改。
阶段三:采用密码抽签的方式,借鉴Algorand采用的算法。逐渐走向完善。
让每一个字节都参与投票
Algorand的密码抽签是一个非常好的概率分布在选举上的应用,对于区块链POS网络而言,非常棒。实现起来比较简单直接。其具体算法如下:

这里不做详细解释,需要的人可以查询相关资料。简单地说,就是在POS选举过程中,当你凭借自己产生的可验证随机数进行抽签的时候,可以通过你自己的份额和相应二项式分布来看你落在哪一个区间,从而判断你获得了多少选票。
二项式分布是n个相同概率的独立时间单独计算而后相加的一个分布,而且整个分布正好切分整个概率空间。因此只需要看你的可验证随机数在那个空间就可以了。
那么对于Filecoin而言,参与选举的份额就是你的算力。如果按照前文中说的阶段二的方式,可以再进行细分,那么可以考虑为每一个字节都参与投票。这样一来,参与投票的选举人数量非常大,整个计算不用采用二项式分布,完全可以采用泊松分布来进行计算。泊松分布的计算公式如下:

这里?λ是自己的份额与预期总选举票数的乘积。在Filecoin中,它就是
E*mPow/totPow;k是获得选举权的数量。
看一下上式,是不是很神奇?自然常数e再一次用到了Filecoin的选举的计算之中。采用泊松分布进行计算是Filecoin的一个改进,非常符合Filecoin的特点,同时计算也非常简单。
采用密码抽签之后,就不能保证每一轮都一定会有矿工拿到出块权了,这很正常,因为每个人都自己掷骰子,出块权的计算是独立的。这样的话,实际上每一轮赢得不同的出块选票的概率有多大呢?简单做一个模拟可以得出下表:

这里空轮的概率是e^-5。
也就是说,预期大约不到200个高度就会出现一个空轮。看起来还好。而每轮选票数为3,4,5,6,7分布较多也比较均匀。选票数高达15张的情况也不少,大概万分之1.6。
看到这里,您可能会想,e是不是与概率的关系比较大,其实我可以告诉你,π在有些时候也会用到概率计算之中。因为这两个常数就是有牵扯不清的关系。
Filecoin中自然常数不仅仅用于选举
自然常数e在选举之中的使用,至此显得非常自然,而且也比较优雅。
同时,Filecoin在Token释放上,也利用e进行计算。这个与概率无关,而是与衰减有关。Filecoin不采用周期性减半的方式进行Token释放,而是模仿放射性衰减,也就是指数衰减。白皮书设计为6年减半。而一般说来,衰减的公式可以写为:

上式可以理解为:初始Token为N0,随时间推移,系统通过释放,在t时间点系统中还应该保留的Token量N(t)的计算公式。
看这里,再一次出现了自然常数e。当然这里不一定非要用e的。但是由于e的使用非常广泛了,用起来方便顺手。所以基本上现在这是一种统一的用法。
免责声明:本专栏內容概不构成任何投资意见,內容亦并非就任何个别投资者的特定投资目标、财务状况及个别需要而编制。投资者不应只按本专栏內容进行投资.
据Finextra7月31日报道,斯洛伐克数字资产交易平台AltFINS宣布完成新一轮融资,筹集超过100万欧元,当地资产管理公司CBInvestmentManagement领投.
作为一家新型金融服务公司,Circle曾寄希望于通过CirclePay打通法币与加密货币的交易和转化,建立一个真正全球化的支付网络.
导读 北京时间7月16日,众多知名人士Twitter账号被黑,提升了区块链关注度,有望推动区块链应用。 摘要 专题:推特安全事件提升区块链关注度,有望推动区块链应用.
写在前面: 来自ConsenSys的TannerHoban和TomBorgers针对以太坊2.0网络的经济问题进行了独立研究,他们认为.
转自:区块律动 当DeFi出现了YFI这样的产品,故事已经达到一个高潮了。没有团队分配、没有预挖、没有投资机构预留,YFI相当于在DeFi上做了一个「比特币」,讲了一场公平概念的故事.