背景
2021 年 1 月 27 日,据慢雾区情报,SushiSwap 再次遭遇攻击,此次问题为 DIGG-WBTC 交易对的手续费被攻击者通过特殊的手段薅走。慢雾安全团队在收到情报后立马介入相关事件的分析工作,以下为攻击相关细节。
SushiMaker 是什么
SushiMaker 是 SushiSwap 协议中的一个重要的组件,其用于收集 SushiSwap 每个交易对的手续费,并通过设置每个代币的路由,将不同交易对的手续费最终转换成 sushi 代币,回馈给 sushi 代币的持有者。这个过程就是发生在 SushiMaker 合约上。
恒定乘积的公式很简单,在不计算手续费的情况下,恒定乘积的公式为

也就是说每次兑换,其实都是遵循这个公式,及交易前后 K 值不变,在兑换的过程中,由于要保持 K 值不变,公式的形式会是这个样子

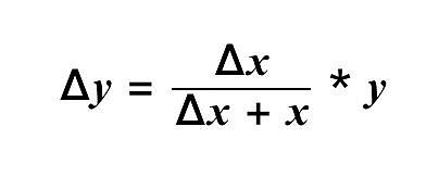
其中 X 代表卖掉的代币,Y 代表要购买的代币,那么每次能兑换到的代币数量会是这个样子(具体的推导过程就不演示了 :D)

从公式上可以看到,当输出代币 Y 的兑换数量上限取决于 Y 代币的数量,而和 X 代币数量的大小无关,反过来说,如果要卖掉的 X 代币数量很大,但是 Y 代币的数量很小,那么就会造成大量的 X 代币只能兑换出少量的 Y 代币,而这个兑换价格相比正常的交易价格会偏离很多,这就是所谓的滑点,是本次攻击中的关键。
首只“元宇宙”概念VR ETF量价齐升创出新高:金色财经报道,继中青宝连续两日涨停后,借助“元宇宙”概念,网络游戏股今日全线上涨,汤姆猫、顺网科技、宝通科技涨停,天舟文化、掌趣科技、迅游科技、昆仑万维、完美世界、三七互娱跟涨。首只“元宇宙”概念ETF:VRETF截止今日收盘涨达3.26%,成交额9828.28万元,换手率20.68%,二级市场交易价格和成交额双双创出新高。(金融界)[2021/9/8 23:09:29]
2020 年 11 月 30 日,SushiSwap 就曾因为 SushiMaker 的问题出现过一次攻击(详解参阅:以小博大,简析 Sushi Swap 攻击事件始末),本次攻击和第一次攻击相似,但流程上有区别。相较于旧合约,在新的合约中, 手续费在兑换的过程中会通过 bridgeFor 函数为不同交易对中的代币寻找特定的兑换路由,然后进行兑换。

其中,brdigeFor 函数的逻辑如下:

根据 bridgeFor 的逻辑,我们不难发现,如果没有手动设置过特定币种的 bridge,那么默认的 bridge 是 WETH,也就是说,在未设置 bridge 的情况下,默认是将手续费兑换成 WETH。而 DIGG 这个币,就是正好没有通过 setBridge 设置对应的 bridge 的。

但是这里还有一个问题,就是在 swap 的过程中,如果这个交易对不存在,兑换的过程是失败的。本次攻击中,DIGG-WETH 这个交易对一开始并不存在,所以攻击者预先创建一个 DIGG-WETH 的交易对,然后添加少量的流动性。这个时候如果发生手续费兑换,根据前面说的恒定乘积的特性,由于 DIGG-WETH 的流动性很少,也就是 DIGG-WETH 中的 WETH 上限很小,而 SushiMaker 中的要转换的手续费数量相对较大,这样的兑换会导致巨大的滑点。兑换的过程会拉高 DIGG-WETH 交易对中 WETH 兑 DIGG 的价格,并且,DIGG-WETH 的所有 DIGG 手续费收益都到了 DIGG-WETH 交易中。通过观察 DIGG-WETH 交易对的流动性情况,流动性最大的时候也才只有不到 2800 美元的流动性,这个结果也能和公式的推导相互验证。

攻击者在 SushiMaker 完成手续费转换后,由于 ?DIGG-WETH 交易对中 WETH 兑 DIGG 的价格已经被拉高,导致少量的 WETH 即可兑换大量的 DIGG,而这个 DIGG 的数量,正是 DIGG-WBTC 交易对的大部分手续费收入。

本次攻击和 SushiSwap 第一次攻击类似,都是通过操控交易对的兑换价格来产生获利。但是过程是不一样的。第一次攻击是因为攻击者使用 LP 代币本身和其他代币创建了一个新的交易对,并通过操纵初始流动性操控了这个新的交易对的价格来进行获利,而这次的攻击则利用了 DIGG 本身没有对 WETH 交易对,而攻击者创建了这个交易对并操控了初始的交易价格,导致手续费兑换过程中产生了巨大的滑点,攻击者只需使用少量的 DIGG 和 WETH 提供初始流动性即可获取巨额利润。
相关参考链接如下:
SushiMaker 归集手续费交易:
https://etherscan.io/tx/0x90fb0c9976361f537330a5617a404045ffb3fef5972cf67b531386014eeae7a9
攻击者套利交易:
https://etherscan.io/tx/0x0af5a6d2d8b49f68dcfd4599a0e767450e76e08a5aeba9b3d534a604d308e60b
DIGG-WETH 流动性详情:
https://www.sushiswap.fi/pair/0xf41e354eb138b328d56957b36b7f814826708724
Sushi 第一次被攻击详解:
https://mp.weixin.qq.com/s/-Vp9bPSqxE0yw2hk_yogFw
By :?yudan@慢雾安全团队
以太坊EIP-1559提案,由以太坊V神在2018年首次提出,预计使以太坊区块链的收费市场更加可预测并缓解拥堵,但提出后便一度引发争议。更有评论认为其争议性可能不亚于比特币区块扩容,如果处理不当,可能会引发新的分叉。 1月22日消息,以太坊开发者DannyRyan表示,以太坊改进提案EIP-1559预计将于今年推出。
据OKEx的数据显示,当前BTC/USDT现货报价为32780美元,当日涨幅为2.56%。 周末行情最终还是以震荡收尾,行情走到昨天晚上八点左右的话,位置还在33000美元附近,而这个价格也正好是周六行情的开盘价,若是能维持在该位置则恰好显示周六回调时、周日反弹后,最终开、收盘都在同一位置上,可惜的昨天晚上八点时,行情开始回落,虽然最终反弹了些,但比较。
头条 ▌MicroStrategy将举行会议帮助公司高管投资比特币 1月24日消息,MicroStrategy将于2月3日举行有关比特币投资的会议。MicroStrategy首席执行官Michael Saylor表示:“在2月的第一周,我们将召集数千名公司高管、主管、董事以及顾问,他们都想知道如何将比特币纳入他们的资产负债表。
在过去一周中,许多DeFi币的表现已经超过了比特币和以太坊,例如Uniswap自2020年11月以来,一直处于大幅上升的趋势中。 现在,Uniswap在1月份的平均每日交易量已接近10亿美元,并且继续领跑DeFi领域,成为除WBTC和AAVE以外的市值第三大DeFi币种,流通市值已超过OKB和HT,与BNB的市值(62亿美元)差距也在不断缩小。
为了更好地让大家快速便捷的获取CyberVein相关信息,现在整理了CyberVein信息平台的全面汇总,涉及官网、国际化自媒体&社交平台、交易所、钱包四大类平台。
逐字逐句带你理解DeFi合成资产协议Synthetix的白皮书。