导读
数字货币本质上是一串特殊的字符串,可以无限复制。如果一名矿工短暂控制了超过50%的算力,向交易所发起转账,同时把同一笔数字货币转账给自己。因为手头有足够的算力,所以两笔交易都被写进区块,成为合法交易,这就是“双花攻击”。
比特币网络自诞生以来并稳健运行至今,已证明:在没有结算中心的对等网络,点对点交易也能拒绝双花攻击。所有的比特币交易记录都被保存在区块链上,2008年在中本聪描述比特币原型的论文里提到,他使用了一种名为梅克尔树(MerkleTree,缩写MT)的数据结构对每一个区块里的所有交易做一次简略记录,梅克尔树能够用较少的字节去表达极大量的信息。
梅克尔树的结构是个满二叉树,因此要求交易数量必须是2n。中本聪通过引入“无效却必要的”多余信息来解决这个问题,所付出代价是此多余信息可能会被攻击者利用,实施双花攻击。
本文先介绍梅克尔树的基本结构,生成节点的规则,然后用一个例子来说明如何为比特币交易构造梅克尔树,最后解释了比特币如何通过UTXO的唯一编号来避免因梅克尔树可能引起的双花威胁。
“无聊猿”BAYC:“下水道”已关闭,所有Dookey Dash分数被锁定一周并将进行验证:金色财经报道,据“无聊猿”BAYC在社交媒体发布消息称,“下水道”游戏现已关闭,所有Dookey Dash分数被锁定,他们正在验证分数,并且会在完成审核后分享最终排行榜。目前尚不清楚分数将如何影响未来的铸造和召唤激活,但分数将被锁定一周,在此期间可以交易“下水道通行证”(Sewer Pass)NFT,同时保留各自的分数。mdvmm.xyz显示Dookey Dash后续四个即将发生的新事件,分别是:Lick the Toad: Get Trippy、Mech Types Reveal: Collection Info、It Came Through the Rift: Evo 1 Reveal、Journey to EVO 2: Time to Play。[2023/2/9 11:56:08]
知识点1:
哈希函数是由数学家或者密码学家精心设计的一种数学运算规则,它可以输入任意长度的数据,而输出结果(即哈希值)的长度保持不变,并且满足:
澳大利亚监管机构起诉Finder Wallet提供“无证”金融服务:金色财经报道,澳大利亚金融监管机构起诉Finder.com的子公司Finder Wallet,因为它推出了一款与加密货币相关的收益产品。12月15日,澳大利亚证券和投资委员会(ASIC)在一份声明中表示,该公司起诉这家初创公司“涉嫌无证行为和风险披露不足”。
这款名为Finder Earn的产品于今年2月至11月10日推出,涉及将用户的澳元存款转换为一种与澳元挂钩的稳定币TAUD, Finder随后将其用作营运资金。该公司提供的存款利率为4.01%和6.01%。ASIC表示,该产品与债券非常相似,因此需要适当的许可。(the block)[2022/12/16 21:48:10]
1)单向运算:只能计算输入得到输出,不能逆向计算输出得到输入;
2)冲突避免:无法找到两个不一样的输入,而它们的哈希值却相同。
哈希函数可以说是区块链最最核心的技术之一,另外一个是非对称加密。正是这二个性质确保了比特币像黄金一样难以获得,经过大量的运算才能得到某个正确的哈希值,使得该哈希值比其它字符串更加珍贵,从而获得价值属性。这是哈希函数在比特币挖矿中的应用,但这并不是本文的重点。
“无聊猿”BAYC交易总额突破22亿美元:金色财经报道,据cryptoslam最新数据显示,“无聊猿”Bored Ape Yacht Club(BAYC)总交易额已突破 22 亿美元,本文撰写时为2,200,138,450美元,市值约为 18.1 亿美元。此外,当前“无聊猿”BYAC地板价跌至83.99 ETH,24小时跌幅2.71%。[2022/6/13 4:21:41]
知识点2:
梅克尔树又被称作哈希树,因为在这种树状数据结构中,每个节点的标签(或称作值)都是一串哈希值。按照从左向右的顺序,将所有子节点的哈希串联成一个新的长字符串,结果作为哈希函数的输入,经计算得到父节点的标签。
哈希树的概念得名于RalphMerkle,他在1979年9月5号提交文件申请注册了该项专利。当然,等到中本聪使用梅克尔树作为比特币的底层数据结构时,此专利保护期已经结束了。不然的话,中本聪得向梅克尔先生支付专利授权费,这样做也许他的身份就被曝光,而整个区块链行业都需要缴纳一笔不菲的费用。
另外多说一句,比特币并没有凭空创造任何新型技术,而是巧妙地使用了若干个已有的密码学工具,组合之后便是区块链这种从未见过的系统。这种创新需要极强的系统性思维,往往独自一人很难拥有这般思考的深度和广度,也就有人推测中本聪其人背后其实并不是某一个人,有可能是一群密码学专家。
“无聊猿”BAYC #17以410 ETH成交,地板价已跌至106 ETH:金色财经报道,据最新数据显示,“无聊猿”BAYC #17以410 ETH成交,约合 1,126,679.48 美元,是过去 24 小时交易额最高的 NFT,在 BAYC 系列交易额排名中位列第而是为。截止目前,BAYC 交易总额已达 19.7 亿美元,市值约为 11.4 亿美元,但地板价已跌至 106 ETH,24 小时跌幅高达 14.66%。[2022/5/6 2:54:34]
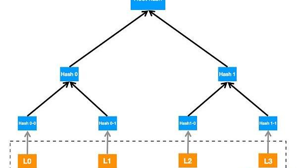
梅克尔树的基本结构
言归正传,梅克尔树是一棵满二叉树,其结构如图所示。

每个叶子节点的标签都是其所记录内容的哈希值,而将两个兄弟节点的标签串联起来,作为哈希函数的输入,经过计算得到父节点的哈希,如此重复直到最后只剩下一个节点,即根节点,又称作梅克尔树根。
中本聪设计了一种区块结构,其区块头的某个字段就是梅克尔树根。梅克尔树根源自区块里记录的每一笔交易,交易可以理解成转账,例如类似「A转给B某某数额的比特币」的格式。将有着固定格式的一笔转账记录做序列化之后,就能作为输入tx,交由哈希函数运算,得到的结果就是叶子节点的标签L。
MoonPay以265 ETH价格购入“无聊猿”BAYC#9921:金色财经报道,据 NFTGo.io 最新数据显示,MoonPay以265 ETH的价格购入“无聊猿”BAYC#9921,约合 741,184.38 美元。MoonPay 主要为名人明星代购“无聊猿”BAYC NFT,包括Paris Hilton、《肥伦秀》主持人 Jimmy Fallon 等一众明星的 BAYC 均通过 MoonPay 购得。据此前相关报道,MoonPay 于四月中旬完成 8700 万美元融资,流行歌手 Justin Bieber、说唱歌手 Snoop Dogg、希尔顿酒店继承人 Paris Hilton、网球运动员 Maria Sharapova 和演员 Bruce Willis、演员 Matthew McConaughey、演员 Gwyneth Paltrow 等 60 多位名人参投。[2022/5/1 2:43:37]
L=Hash(tx)
而每二个叶子节点的哈希,便可以串联起来作为输入,得到父节点的哈希P。
P=Hash(L0+L1)?//'+'meansconcatenation
区块可以记录的交易内容长度有限,在中本聪的设计里,严格限制了一个区块内所有交易的总长不超过1MB。而交易的长度又随交易的复杂度而变化,可以简单理解成越复杂的交易,其内容越长。为了有效利用区块,挣更多的手续费,矿工们总是希望尽可能往区块里面记录更多的交易。
观察梅克尔树的结构,可以发现其总是一棵满二叉树,这意味着叶子节点的数量总为2n。当待记录的交易数量不足2n,又或者等于2n?时所有交易的总长度超过1MB限制,此时区块能够记录的交易数量不能恰好等于一棵满二叉树的叶子数量。这种情况出现时,该怎么计算梅克尔树根呢?
中本聪如何为比特币交易构造梅克尔树?
以一个简单的例子来说明这个问题。
假设某区块里面记录了一共5笔交易,那么其初始叶子节点仅有5个。每2个叶子节点生成1个父节点,在产生父节点的过程中,却遇到了最后1个叶子节点没有兄弟节点的情况,这时候需要构造出来另外一个节点与其匹配。中本聪的做法是:直接重复该节点本身作为其兄弟节点,然后再按照前述方法得到父节点。这个重复的节点,就是原始交易记录里没有但是梅克尔树上却存在的多余信息。
此时,在梅克尔树结构里面出现了3个父节点,然后再依据这3个节点继续往上构造父节点。同样的问题又出现了,这一层仅有3个节点,最后1个节点必须重复自身以满足兄弟节点成对出现的要求,这样又出现了新的多余信息。最后,再高一层又出现了2个父节点,继续合并,得到最后唯一的节点,即根节点。
在交易数量为5的情况下,由此构造出来的梅克尔树的结构如下图所示。

比特币如何避免
因梅克尔树可能引起的双花威胁?
中本聪的这种做法也许会让读者产生疑惑:既然最后一个叶子节点会被重复,从其父节点的角度看,它有两个具有相同哈希的叶子节点。根据哈希函数的冲突避免性质可以判断,此二个叶子节点所代表的内容完全相同。也就意味着,假设区块里面还能再添加一笔完全相同的交易记录,计算得到的梅克尔树根的值保持不变。这种做法岂不是会导致双花攻击的问题?
比特币网络是如何避免不诚实节点故意在同一区块内记录完全相同的二笔交易?这个疑惑需要借助比特币交易的基本单位UTXO来解释。
在比特币网络里面,并没有「账户」这种东西,也就没有所谓「余额」等衍生概念,因此无法像传统银行系统一样,通过检查账户余额来判断用户有没有可继续花费的资产。所有的比特币都是以UTXO(UnspendTransactionOutput)的形式存在,交易消耗已经存在的UTXO(称作输入,Input),产生新的UTXO(称作输出,Output),被消耗的UTXO便不再有效。
每一个UTXO都拥有一个锁定脚本(ScriptPubKey),用来保护该UTXO不会被除了其拥有者以外的其它人使用,目前还没有人可以解锁不属于自己的UTXO。UTXO能被花费的前提条件是,其锁定脚本被正确地解锁。通常某UTXO的锁定脚本会指定其拥有者的公钥信息,当该UTXO被花费的时候,只有出示与该公钥匹配的私钥所生成的数字签名,即解锁脚本(ScriptSig),才能成功解锁UTXO。
在比特币的设计中,使用交易ID和UTXO在该交易的输出序号来作为UTXO的唯一标识,所有可用的UTXO都保存在一个名为UTXOset的数据集合里面。
这意味着,可以实现:将每一个还未被花费的UTXO都存储在数据库里并向全网公开,将已经被消耗的UTXO销毁并从数据库中删去。那么当攻击者故意构造第二笔交易并试图再一次花费相同的UTXO时,会发现无法在数据库中找到拥有相同ID的那个UTXO。这就相当于,某人花掉了手中真实存在的物理货币以后,便没法再使用一遍。
因为每个UTXO都拥有独一无二的标示,所以在一个区块内,节点很容易判断每笔交易所消耗的UTXO是否相同:如果存在两笔交易的输入为具有相同ID的UTXO,即能判断第二笔交易无效,此区块无法被诚实节点验证通过。
因此,虽然梅克尔树在交易数量不等于2n的情况下,理论上会出现重复哈希值的问题,但实际中在真实区块里面无法再伪造具有相同内容的交易,双花问题得到避免。
注:以上图片来自于Onchain
参考资料:
?比特币原始论文?Bitcoin:APeer-to-PeerElectronicCashSystem
?梅克尔树原始专利文件
本文由PolyEnterprise团队出品
NFT全面解析:2021年会是「NFT年」吗?区块律动BlockBeats 刚刚 20 原文标题:《Why2021WillbetheYearofNon-FungibleTokens(NFTs)》.
美国《新闻周刊》上最近一篇探讨比特币是否能成为新的金本位制的文章,表达了对比特币的积极态度。这篇文章于周三发表,它引用摩根大通的最新预期分析了数字黄金的说法,摩根大通策略师表示,比特币可能涨到1.
在加密货币市场发生严重崩盘之际,英国金融市场行为监管局发出了一项关于加密货币投资的警告。在1月11日的一份声明中,FCA表示,加密货币投资和借贷的风险较高,并强调投资者应该做好投资加密货币时损失.
与之前的每日加密货币交易量相比,1月11日,全球支付提供商PayPal的每日加密货币交易量翻了一番,1月11日该平台上的数字资产交易量达到2.42亿美元.
2021年,比特币连日连创新高!刚刚,最新数据显示,比特币突破35000美元,再创历史新高!与此同时,一则关于英国一程序员把7500个比特币当成垃圾扔掉的新闻冲上热搜,记者粗略计算.
文?|?沉思录?编辑|Tong?出品|PANews如果要给2020年的加密货币领域选几个关键词,那么“DeFi”、“流动性挖矿”定会入选.