本文将探讨如何更合理地评估NFT的稀有度。稀有度得分是一种辅助手段,不同NFT项目方会给出关于某种属性的更重要的公告,也会受到了个人主观审美的影响。
什么是NFT的稀有度?
一般来说,NFT的稀有度包含两个概念:特征稀有度与资产稀有度。
特征稀有度:衡量每个特征的出现频率,即拥有该特征在此集合中的占比。例如,特征"Background_Blue"的稀有度得分是10.44%,因为ShortBearClub总数是5000只,其中有522只"Background_Blue"熊。

图1:ShortBearClub的特征稀有度
资产稀有度:代表该项资产的总稀有度分数,可用于横向对比与排名。单个NFT的价值通常很大程度上受到稀有度的影响。对于NFT收藏家来说,当他们在考虑购买哪种NFT时,他们希望花费相同数量的ETH带来最大的回报,于是,稀有度成为最重要的参考指标之一。
已有的稀有度评分模型Rarity.Tools稀有度评分
Rarity.Tools是目前使用最广的稀有度评分工具。它的核心计算方式是:将每个特征出现频率的百分比的倒数总值相加。

加密交易平台Gemini获Blockchain Infrastructure Alliance战略投资:金色财经报道,由卡梅隆·文克莱沃斯(Cameron Winklevoss)和泰勒·文克莱沃斯(Tyler Winklevoss)兄弟创立的加密交易平台Gemini宣布已获得区块链基础设施联盟Blockchain Infrastructure Alliance(BIA)战略投资,这笔投资通过BIA成员和风险投资基金Draper Dragon 完成的,该基金由BIA和著名加密投资者和倡导者 Tim Draper 共同创立。
据悉,对 Gemini 的投资是BIA更广泛投资计划的一部分,该计划旨在促进去中心化技术和社区的扩展。自2021 年第四季度成立以来,BIA已经吸引了加密行业内多家实体加入,包括 Polygon、Avalanche、Alchemy Pay、NEAR 和 Algorand等。除了孵化有前景的新项目外,BIA还提供开发人员工具和文档、开源库、具有开源组件的去中心化应用程序、开发人员教育材料和互操作性解决方案等服务。(Alchemy Pay News)[2022/2/17 9:57:08]
图2:rarity.tools的稀有度模型
不过,Rarity.Tools在近期调整了它的计算模型,且没有公开披露具体细节。
Rarity.Tools是NFTSummer爆发前就有的一款NFT稀有度数据分析工具,它的优势在于计算模型简单易懂。用户可以很直观地看出哪个特征在整体稀有度分数中贡献度更大。但是简单加总法的缺点是可能会高估或低估一项资产的真实稀有度。例如,若某个特征或者特征数量的分数过高,会在一定程度上拉高该NFT的排名,但用户可能对该特征并不是很关注。
Riot Blockchain任命新董事:官方消息,11月17日,Riot Blockchain,Inc.(纳斯达克股票代码:RIOT) 宣布,Hubert Marleau已被任命为公司董事会成员,从宣布当天开始生效,以填补先前宣布的空缺。[2020/11/18 21:12:03]
NFTEXP稀有度评分
在NFTEXP的稀有度计算更为复杂,目前尚未披露。我们只能从NETEXP官网中获得NFTEXP模型的大概思路。
以"Chubbies"项目为例,其中两个特征的频率如下:
脸部:Blushed,有1053个。
发型:Afro,有1110个。

图3:"Chubbies"项目一览(来源NFTGO.io)
从百分比上来看两个特征的稀有度几乎相同。但是:「Blushed」的特征稀有度评分为8,而Afro的特征稀有度评分为17。这是因为发型特征只有四种,脸部特征一共有13种。所以,一个「Blushed」的真实稀有度低于“平均脸”,而一个「Afro」的真实稀有度高于平均水平。
NFTEXP的特征稀有度考虑到了特征中类别数的影响。每个特征的出现频率会与平均频率进行比较,相应的调整特征评分。但NFTEXP也存在和Rarity.Tools同样的缺点,会在下一节“异常情况对比”中详细阐述。
Block.one CEO:我们已经注意到相关报道,对公众的审查表示感谢:Block.one CEO Brendan Blumer 刚刚在电报群中对今日360团队曝光的EOS安全漏洞做出回应:尽管我们的开发团队还正在睡觉,Block.one已经在关注所有正在被报道的事情。我们对公众的持续审查表示感谢,这也是开放源码项目能够如此强大的原因所在。让我们来关注于如何构建一个更安全的互联网以及其他建设性的事情之上;我们都感到非常激动。[2018/5/29]
更合理的稀有度评分模型
一般来说,稀有的同义词还有特殊、独特。一件事物是否稀有,主要取决于它与群体内其他事物的差异性。差异性越大,代表这件事物更加特殊和罕见。那么,若能量化这件事物与群体内其他事物的综合差异,即能反映出它在群体内的稀有度。NFTGO基于这一原则,研发出一种更科学的方法来评估NFT的稀有度——基于Jaccard距离的稀有度评分方式。
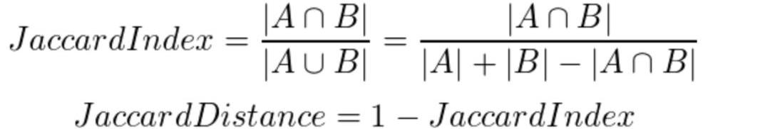
什么是Jaccard距离?
Jaccard距离是一个统计学的方法,用于测试样本集之间的不相似性,范围为从0到1。其数学公式为:

Jaccard距离是一种常见的数据科学测量方法,用于计算对象之间的差异性。其逻辑看起来类似于维恩图,衡量样本集之间的交集大小。
现场 | 火币集团COO朱嘉伟:区块链是解决三个和尚如何打水的问题:金色财经现场报道,百度智能云Techday11月21日在北京举行。火币集团COO朱嘉伟在会上表示,区块链技术和其他多数技术很不一样,多数技术是解决一个和尚如何打水的问题区块链是解决三个和尚如何打水的问题,因此区块链适用于多方协同的场景,可以促进数据共享、优化业务流程、降低运营成本、提升协同效率以及建设可信体系。[2019/11/21]
如何计算NFTGO稀有度评分?
NFTGO基于Jaccard距离来纯粹地统计NFT特征的相似度。我们以计算BAYC#1154稀有度评分为例:
计算#1154与同系列中其他9999个NFT的Jaccard距离
计算Jaccard距离的平均值,这就是稀有度分数的初始数据
使用极差法处理上一步的数据。极差法的数学公式为:

用上一步得出的z-score乘以100,即为BAYC#1154的最终稀有度分数。然后在一个集合中根据分数进行排名(稀有度分数的范围从0到100),得到该NFT的最终稀有度排名。
NFTGO稀有度评分的优势
通过实验对比发现,Rarity.tools和NETEXP的稀有度评分可能会高估或低估一项NFT资产的稀有度,而NFTGO稀有度评分却能在这些异常情况里给出比较合理的结果。
声音 | 北京商报:如何把区块链等与金融业务进行融合是关键:8月28日,北京商报发布了题为《持牌机构怎么变:破体制禁锢 走独立之路 》的文章,对央行《金融科技(FinTech)发展规划(2019-2021年)》进行了解读。文章称,在分析人士看来,场景化是金融科技发展的一个重要趋势,因为只有嫁接到具体场景,才能让金融科技更好地服务于实体经济,降低风险发生的可能,而如何把AI、大数据、云计算、区块链等技术与金融业务进行合理而深度的融合是关键。[2019/8/28]
下表展示了NFTGO、Rarity.Tools和NFTEXP三种稀有度评分模型,在计算BoredApeYachtClub(BAYC)系列NFT的稀有度排名时的异常情况。

表1:各工具稀有度排名结果对比
在26个异常值中,前22个猿猴的稀有度评分被Rarity.Tools和NFTEXP高估了,因为“有四个特征属性的猿猴”在总分中占了很大的比例。最后4个猿猴的稀有度评分被Rarity.Tools和NFTEXP低估了,因为“有五个特征属性的猿猴”在总分中占的比例很小。
以BAYC#947为例,NFTGO将其排名为#9994,这几乎是最不稀有的猿猴,稀有度为406。然而,Rarity.Tools将它排在第775位,稀有度为168.23。这是因为Rarity.Tools仅将每个特征和特征数进行简单相加(然而它实际没有额外的特殊特征)。如下图所示,这只猴子并无特别的特征。那为什么这只猿猴在Rarity.Tools中排名前10%?很明显,特征数占稀有度分数的比例过高,在168.23的总分中占136.7分。有四个特征属性的猿猴总数为254个,有六个特征属性的猿猴总数为5,323个。根据Rarity.Tools提供的稀有度计算公式,有四个特征属性的猿猴会比有六个特征属性的猿猴相对稀缺,这其实并不太合理。

图4:Rarity.tools针对BAYC#947的稀有度评分细节

图5:NFTGO针对BAYC#947的稀有度评分细节
再看BAYC#2832和BAYC#8742,很明显,BAYC#2832的评分应该更高,因为它有多样化的特征。并且,BAYC#8742的最高报价也高于BAYC#2832,因此,购买BAYC#2832是更有利可图的,而Rarity.tools低估了它的稀有度。

图6:Rarity.tools针对BAYC#2832和BAYC#8742的稀有度评分细节(数据:2021年12月2日

图7:NFTGO针对BAYC#2832的稀有度评分细节)

图8:NFTGO针对BAYC#8742的稀有度评分细节
图7和图8是NFTGO对BAYC#2832和BAYC#8742的稀有度评分。从页面右侧“特征”视图可以看到,BAYC#2832的各特征属性基本浮动在1%-3%之间,而BAYC#8742特征属性的最低值足有12.42。显然,NFTGO的稀有度评分比Rarity.Tools更加合理。
此外,Rarity.Tools和NFTGO对于CryptoPunks的稀有度评分也能反映其准确性的差异。在Rarity.Toolsv2中排名前二十名的Punk,有接近一半是没有特征的。NFTGO对此类Punk的排名更低一些,因为这些零特征的Punk缺乏多样性,理应降低稀有度评分和排名。

图9:Rarity.Tools中排名前21的CryptoPunk

图10:NFTGO中排名前20的CryptoPunks

表2:CryptoPunk的稀有度排名对比(数据:2021年11月2日)
综上,与RarityTools和NFTEXP稀有度评分相比,基于Jaccard距离的NFTGO稀有度评分是合理且准确的,您可以将其作为收藏NFT的参考。
总结
在购买或出售NFT时,稀有度得分是一种辅助手段。虽然我们使用的稀有度模型在统计学上是正确的,但是不同NFT项目方会给出关于某种属性的更重要的公告。例如CoolCats的官方声明,无檐小便帽或帽子这样的普通物品比电脑头或猿人服装等稀有物品的价值要低。除此之外还有其他方法可以判断NFT资产的价值,如艺术欣赏价值或流动性溢价。再者,也许您更喜欢绿色背景而不是红色背景,这受到了个人主观审美的影响。
基于Jaccard距离来计算一项NFT资产的群体性差异,帮助用户发现NFT的群体性综合差异,实际是更本质地量化了“稀有度”这一概念。您已可以在NFTGO上查看所有NFT的稀有度排名和稀有度评分,希望NFTGO稀有度评分能帮助您在购买或出售NFT时做出更合理的决策。
作者:NFTGO
对于存储区块链资产的钱包,还有不少人没搞懂,尤其是地址、公钥、密码、私钥、助记词、Keystore等专有名词,让人一头雾水。可是,如果不搞清楚这些概念,很可能会造成区块链资产的损失.
数字支付公司Block(前Square)宣布,CashApp用户将能够在节日季期间向朋友和家人赠送加密货币和股票.
SolanaLabs的投资部门SolanaVentures近日宣布了一项新的1.5亿美元基金,以支持区块链游戏初创公司.
12:00-21:00关键词:FreeRossDAO、WhatsApp、以太坊、哈萨克斯坦央行1.俄总检察院制定没收加密货币的准则;2.Visa调查:18%的中国香港居民是加密货币投资者;3.
上周市场恐慌指数达到25,市场情绪处于极度恐慌中。本期周报继续读《Messari年度报告》。 前情提要 如果市场崩塌,首先要回归本心。潜力赛道:NFT基础设施、DAO相关建设、跨链桥.
近些日子,元宇宙相关的话题非常的火热。元宇宙被誉为是下一代互联网。许多科技公司都因为元宇宙未来的巨大潜力而纷纷布局元宇宙相关业务.