从数学角度论证和解释 Uniswap 创始人与 Paradigm 研究团队设计的全新做市模型 TWAMM 的工作原理。
最近,Paradigm 研究合伙人 Dave White、Dan Robinson 与 Uniswap 创始人 Hayden Adams 一起合作设计了一个全新的做市模型「时间加权做市商 TWAMM」(The Time-Weighted Average Market Maker)。根据其发表文章介绍,TWAMM 可以在以太坊上有效地交易大额订单,工作原理是将长期大额订单分解为无限多个无限小的虚拟订单,在一定时间内使用嵌入式 AMM 平滑地执行这些交易。
关于 TWAMM 的虚拟交易所涉及的数学,Dave White 在文中并没有多费笔墨,只在最后给出了非常简单的数学结论,这对于理解 TWAMM 的数学原理非常不利。本文将重点对 TWAMM 的数学原理进行严格的论证和解释,至于 TWAMM 模型详细的设计原理,可以前往 Paradiagm 官网查看,本文不再做详述。
FDIC正与多家银行就第一共和银行命运的解决方案进行磋商:金色财经报道,消息人士称,美国联邦存款保险公司(FDIC)正与多家银行就第一共和银行命运的解决方案进行磋商,其中将包括破产接管。第一共和银行最有可能被联邦存款保险公司接管。[2023/4/29 14:33:56]
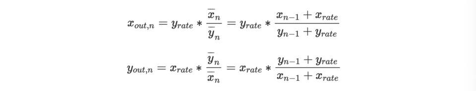
假设 TWAMM 执行大额虚拟交易需要 N 个区块,出售 X 的池子以每区块 xrate 的速率出售,而出售 Y 的池子以每个区块 yrate 的速率出售。因此,在整个期间售出的 X 总量为 xin=Nxrate,售出的 Y 总量为 yin=Nyrate。
同时,我们将此时间段嵌入 AMM 的初始储备 xreserve 和 yreserve 分别表示为 x0=xammStart 以及 y0=yammStart。
按照 TWAMM 的设计,大额订单是随着区块进行交易的,每个区块出售 xrate 得到 yout,或者出售 xrate 得到 yout,同时 AMM 会更新 xreserve 和 yreserve 的值,整个过程总共交易 N 次。
光年之外以10亿美元估值寻求融资:金色财经报道,ChatGPT引燃的创业潮又引来一批入局者。美团(03690.HK)联合创始人王慧文的新公司光年之外,近期也已启动第二轮融资,投前估值约10亿美元。据了解,快手董事长宿华也在密切关注大模型方向,已陆续投资数个项目。
此前报道,王慧文在社交平台发文宣布进军人工智能领域,称将打造中国的OpenAI。王兴将个人参与王慧文\"光年之外\"A轮投资并出任董事。[2023/4/5 13:46:18]
值得注意的是,AMM 的每个区块交易总是遵循恒定乘积做市。

首先,在执行第 n-1 区块的交易后,我们假设此时 AMM 的 xreserve 和 yreserve 值分别为 xn-1 和 yn-1。
Coinbase 出现间隙性登陆问题,团队正在解决:金色财经报道,Coinbase 表示,意识到一些用户在登录 Coinbase 网站、移动应用和 Coinbase Prime 时遇到问题,团队正在尽快解决这个问题。Coinbase 账户中的资金是安全的。[2023/3/14 13:03:51]
接下来执行第 n 区块的交易,X-Pool 和 Y-Pool 分别向 AMM 输入 xrate 和 yrate,命:

因为 xrate 和 yrate 非常微小,且区块的交易 AMM 遵循恒定乘积做市商,我们可以得到,

韩国FIU将于8月30日进行对该国加密交易所运营商的首次制裁审议:8月25日消息,据外媒报道,韩国金融服务委员会下属的金融情报部门(FIU)将成立针对加密交易所运营商的制裁审议委员会,并于8月30日进行对加密交易所运营商的首次制裁审议。这将是韩国当局自去年《特别金融法》施行并将加密交易所被涵盖在FIU监管框架后的进行的首次全面检查。
在此次制裁审议中,该监管机构将检查加密交易所运营商是否违反《特别金融法》,若发现违法行为将实施罚款等。FIU在运营商不履行纠正命令或累计机构警告时,可以处以停止营业。
截至8月,他们完成了对Coinone、Gopax、Upbit的综合检查并出得出结果,8月30日制裁审议的对象是Coinone和Gopax,预计各交易所将在当天出席制裁审议,对指出的事项进行说明。 此外,FIU正计划继Coinone、Gopax和Upbit之后,对Bithumb展开全面检查。
据悉,《特别金融法》明确规定,如果交易所在KYC认证和报告可疑交易等事项存在违规,将处以1亿韩元以下的罚款。 但如果出现利用内幕交易或滥用职权等情况,可能会被判有期徒刑或停止营业。(News1)[2022/8/25 12:46:39]
化简,
BlockFi:上调所有费率等级的BTC、ETH和Stablecoin利息账户利率:6月24日消息,根据BlockFi向SEC提交的一份材料,加密借贷机构BlockFi将从2022年7月1日起上调所有费率等级BTC、ETH和几种 Stablecoin 利息账户的(BlockFi Interest Account,BIA) 利率。BlockFi 表示上调利率是出于三个因素考量:有效的风险管理、减少市场竞争和改变宏观收益率环境。[2022/6/25 1:30:14]

在得到 xout,n 和 yout,n 的值后,我们进一步可以获得 n 区块的交易后 AMM 的 xreserve 和 yreserve 值 xn 和 yn,

通过观察,我们发现 xn*yn=xn-1*yn-1,这正好符合 AMM 的循恒定乘积做市的前提要求。
令, xn*yn=xn-1*yn-1=...= x1*y1=x0*y0=k,这是一个常数。
先对 xn 求得一般公式,并获得 xammEnd=xN 的值,yn 同理。

yn 的分式线性递归表达式如下:

首先,若 yin 等于 0,xin 不等于 0,则


计算得到,

而,

xin 等于 0,yin 不等于 0 时,讨论同上。
若 xin 和 yin 都不等于 0,对于一般的分式线性递归,我们可以采用不动点的方法求解。

进一步计算,

TWAMM 的基本假设是将长期大额订单分解为无限多个无限小的虚拟订单,也即是 N 可以取无穷大,这时候可以获得 xN 的极限值。

其中,

相似的,

最后,经过简单的验证 xammEnd*yammEnd=xammStart*yammStart=k, 依然满足 AMM 的恒定乘积。
至此,我们完成了 TWAMM 的数学原理严格的论证和解释,并得到了与 「时间加权做市商 TWAMM」 一文完全相同的结论。
撰文:luffy
DeFi流动性挖矿火爆一时,吸引了大量投资者参与。为了方便投资者及时了解DeFi挖矿项目的相关信息和挖矿流程,金色财经推出了“金色说明书”系列挖矿教程。本文由金色财经和Themis合作推出.
北京时间6月4日22:00,SwapAll飞象交易所联合HSC虎符智能链团队在金色财经开启了一场A直播.
10月23日,在金色财经成立四周年之际,特别策划——“同行者”线上区块链高峰论坛开启,论坛为期6天,其间大咖云集,全方位解读行业。在论坛上,星云链创始人徐义吉主题演讲《从技术发展看行业趋势》.
由Facebook的Libra带来的“数字货币推广战”已逐渐演变成各国央行货币主权的保卫战。欧洲正在努力创建电子欧元,而中国的数字人民币即将推出……央行数字货币时代可能很快就会到来.
实用的 DeFi 工具可以帮助你省下很多时间,并快速找到优质投资。本文梳理自 DeFi 研究员 The DeFi Edge 在个人社交媒体平台上的观点:实用的 DeFi 工具可以帮助你省下很多时.
在刚刚过去的这个周末(2020年6月20日),在美国的证券行业发生了一个非常有趣的事情。美国总检察长William Barr提议现任SEC主席Jay Clayton担任纽约南部辖区的美国检察官.