
来源 |?https://www.paradigm.xyz/2021/08/floor-perps/?continueFlag=2aed5c51e1e788c41fa691e7dfab022f
作者?|?Dave White(2021-08-31)
翻译?|?zzzxwwww???? ? ? ? ? ? ? ?
编辑?| Stella
本文介绍了floor perpetual,这是一种可通过锁定NFT来铸造跟踪项目地板价的合成NFT。Floor perps让NFT持有者获得流动性,并免受地板价波动的影响,也不需要他们放弃对NFT的所有权。
作为永久期货「见《The Cartoon Guide to Perps》」,floor perps还为其他市场参与者提供了NFT地板价的多头和空头敞口。

问题

Ocelots来源:https://twitter.com/tinyatticart
想象一下,您拥有 10 只来自极受欢迎的 Awful Hot Ocelots 项目的 Ocelots。(假设)
你选择了这些Ocelots,可能是因为你在它们身上看到了其他Ocelots所没有的某些美学品质。虽然你的Ocelots在历史上的交易价格都接近项目的最低价格,或者说是地板价格,但你相信随着时间的推移,它们的价值会相对于地板价格会有所提升。
最近,地板价急剧上升,而你的Ocelots占净资产的大部分。你喜欢它们,更不想卖掉它们,但希望有一些流动性和保护,以防止未来底价的下跌。
法国时尚品牌Balmain推出捆绑NFT版本的独角兽运动鞋:金色财经报道,法国奢侈时尚品牌 Balmain 今天推出了最新的Web3计划,推出了基于其 Unicorn(独角兽)鞋类系列的限量NFT,每款运动鞋都配有一双匹配的限量版现实世界鞋。此次发售包括 130 款限量版独角兽运动鞋,这些运动鞋配备了由 Space Runners 设计的相同 NFT 球鞋。
该系列的以太坊 NFT 是与数字时尚公司 Space Runners 合作打造的,五款独特的运动鞋设计通过该系列的 Unicorn 套装首次亮相,每款售价在 1595 美元至 2095 美元之间,可以使用传统货币或 ETH 支付。[2023/3/22 13:19:53]
如果你只持有一个极其稀有的Ocelot,你可以在fractional.art上把它碎片化。但是你的Ocelots还没有被认为是那么特别,而且你怀疑如果把所有10个Ocelots碎片化并出售,你将很难获得流动性。

https://www.paradigm.xyz/2021/08/floor-perps/?continueFlag=2aed5c51e1e788c41fa691e7dfab022f
此外,你认为自己的Ocelots相对于地板价来说太便宜了,而且不想通过出售哪怕是一小部分来放弃它们相对上升空间。
解决方案
你决定用你的Ocelots作为抵押品来创建和出售OCELOT floor perps。
例如,假设Ocelot地板价目前为20ETH,而你的Ocelots平均价格为25ETH,那么总投资组合为10*25=250ETH。
你登陆一个floor perp市场,在那里你锁定10个Ocelots作为抵押品。然后你铸造了10个OCELOT perps,每个价值20ETH,并将它们卖给做市商,总价为200ETH。做市商将反过来把你的perps卖给那些想接触到Awful Hot Ocelots项目的交易者。
Yuga Labs:比特币NFT系列TwelveFold拍卖将于PT时间3月5日下午3点开始:3月5日消息,Yuga Labs在社交媒体上发文表示,TwelveFold拍卖将于太平洋时间3月5日下午3点(北京时间3月6日上午7点)开始,并将在24小时后的太平洋时间2023年3月6日下午3点(北京时间3月7日上午7点)之前结束。
此前报道,Yuga Labs宣布将基于Ordinals协议在比特币区块链上推出NFT系列TwelveFold。该系列将包含300件限量版生成艺术作品,每件都刻在比特币区块链上。[2023/3/5 12:42:54]
如果Ocelot地板价跌至10ETH,你可以以100ETH的价格买回所有perps(忽略资金),那么你收回NFT的收益为100ETH。如果你的Ocelots都下跌了10个ETH,即平均15个ETH一个,那么你现在持有的是100个ETH和一个总价值150个ETH的NFT组合,组合总价值为250个ETH,就像floor从未下降一样。
另一方面,如果Ocelot地板价上升到30ETH,你需要用300ETH来买回perps并收回NFT,净借入100ETH。然而,如果你的论点正确,你的NFT相对地板价格也已经上升,例如,每个65ETH,你的总头寸现在的价值是650-100=550ETH,总收益为550-250=300ETH。

资金和清算
像所有的perps一样,floor perps依靠资金,即多头和空头之间的支付资金费率机制,以便与他们的标的保持一致。
如果想做多OCELOT perps的人比想做空的人多,那么卖出perps的Ocelots持有者实际上是可以获得收益的。因为多头在购买perps时可以使用杠杆,会为了能够轻松进入和退出头寸而支付流动性溢价。
然而,如果想做空的人比做多的人多,那么空头,包括NFT持有人,将不得不定期向多头支付资金费率。不支付资金是Ocelot持有者被清算的唯一途径:由于我们在下面描述的设计考虑,NFT地板价或perp价格的波动不会导致清算,除非它们导致大量的资金支付,实施者必须小心避免。
BendDAO与Matrixport达成合作,为NFT注入更多ETH流动性:4月28日消息,首个点对池蓝筹NFT抵押借贷协议BendDAO与Matrixport达成合作,将共同探索DeFi与NFT的结合,为DeFi引入优质蓝筹NFT资产抵押,并且捕获高ETH收益。该合作有助于促进NFT金融的发展,丰富NFT应用场景。合作双方达成共识即NFT资产规模将在不久将来接近甚至超过ERC20资产规模。[2022/4/28 2:37:57]
概述
有关永续期货「perpetual futures」机制的基本指南,请参阅《The Cartoon Guide to Perps》。

详见:https://research.paradigm.xyz/cartoon-guide-to-perps
Floor perps只是追踪特定NFT项目地板价的标准perps,但有一些关键的修改,以允许NFT抵押并尽量减少NFT清算,
特别是:
除了现金外,空头可以用被跟踪项目的NFT来抵押他们的头寸。
如果空头的现金余额不足,他们需要支付实物资金(见下文)。
空头根据指数价格而不是标记价格进行清算。
多头的杠杆要求可以被调整以确保系统的流动性。
交易场所
像所有的perps一样,floor perps需要一个原生场所。这可能是一个链外中央限价订单簿或一个链上AMM。
正如Dan和Hasu指出的那样,floor perps甚至可以用Maker DAO这样的系统来实现。

Hasu详见:https://twitter.com/hasufl
周杰伦发文庆祝PhantaBear NFT过去一周交易额排名第一:1月11日,周杰伦在Instagram发文庆祝PhantaBear位列OpenSea过去一周交易额排行榜第一,并配文:“做什么都要第一,When I said I am all about being no. 1, I wasn't kidding!”。
根据周杰伦晒出的交易额截图显示,PhantaBear 交易额超过“无聊猿”BAYC 达到了 16851.10 ETH,增长率达到 529.03%;BAYC 交易额为 16721.06 ETH,跌幅为 26.20%。
PhantaBear NFT 系列于 1 月 1 日首次亮相,并在短短 40 分钟内售罄了 10,000 枚 NFT,本文撰写时地板价为 5.88 ETH(约合 18,344 美元)。[2022/1/11 8:40:37]

Dan详见:https://twitter.com/danrobinson

Maker DAO详见:https://makerdao.com/en/
标价价格 Mark Price
一如既往,perp的标价是其在原生交易所的价格。
指数价格 Index Price
一个perp的指数价格是它应该跟踪的资产的价格。
在floor perp的情况下,这个价格是perp所追踪的项目的地板价,这里的定义是市场为了获得项目NFT但又不知道会获得哪一个NFT时愿意支付的最高价格。
作为第一步,我们可以使用像NFTX或NFT20这样的协议,发行同质化代币,代表一篮子NFT的份额。用户可以通过存入一个NFT来创建这些代币,或者通过赎回来提取一个NFT。因此,这些同质化代币在DEX上的价格,也许经过了流动性的调整,代表了一个与项目地板价的捆绑报价。
Loot创始人dhof表示将为照顾过wagmigotchi小精灵的用户免费发放NFT:10月5日消息,Loot创始人dhof表示将为照顾过wagmigotchi小精灵的用户免费发放NFT“pfps”,即“来自天堂的明信片(POSTCARDSFROMPARADISE)”。[2021/10/5 17:24:57]
指数可靠性
缺乏流动性的地板NFT市场和不稳定的指数价格可能是使floor perps成为现实最大障碍的因素,因为floor perps的市场规模可能会增长到目前地板NFT市场的数倍。一个不可靠的指数可能会增加清算风险,不准确地代表抵押品的清算价值,或成为一个有吸引力的操纵目标。
为了解决这些问题,floor perp协议可能不仅要弄清楚如何更好地衡量地板价,还要弄清楚如何实际提高现货市场中NFT市场的流动性。对于一个不断发展的场内期权交易所来说,一种可能性是以某种方式激励用户参与本地现货市场中的地板NFT交易。
资金
对floor perps的支付资金费率遵循:每个资助期,例如每天一次,多头必须向空头支付MARK-INDEX,很可能以ETH计价。
NFT抵押品
大多数perps都是用现金保证金抵押的。在floor perps的情况下,我们允许做空perp的人用项目的NFT来抵押他们的头寸,而不是用现金。
为以NFT支撑的空头提供“实物”资金
为了保证多头在平仓时能够获得流动性,我们不允许以NFT支撑的空头累积以现金计价的资金债务(尽管在某些情况下,更复杂的系统可能允许这样做)。相反,如果空头必须向多头支付资金而没有正的现金余额,系统将让他们以额外的perps形式向多头支付 "实物 "。
例如,想象MARK是10ETH,INDEX在交付资金费率时段是10.2ETH,所以空头必须支付多头INDEX-MARK=0.2ETH。想象一下,Alice做空0.5个perps,用NFT做抵押,她在系统中的现金余额为0。那么,系统将不会借给爱丽丝或清算她,而是代表她铸造一个额外的0.01个点(因为FUNDING/MARK*pos=0.2/10*0.5=0.01),所以她现在是空头0.51个perps。然后,它将在多头中分配额外的多头头寸以代替现金支付。
在上面的例子中,如果爱丽丝已经做空了0.985个floor perps,而系统不得不代表她额外铸币0.01个perps,因此她现在做空0.995个perps,她将濒临危险,系统可能会根据其清算参数对她进行清算。这是NFT支持的空头可以被清算的唯一方式,我们在下面进行解释。
以NFT支撑的空头的清算标准
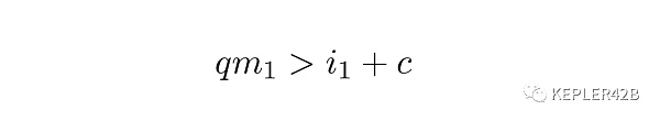
想象一下,爱丽丝已经存入了 NFT q perps作为抵押品,并且做空了 perps (0<=q<=1),包括如上所述的实物资金。如果当前底价为m1,她的流动负债为qm1。例如,如果她做空 0.5 perps 并且当前标记价格是 10 ETH,则她有 5 ETH 的负债。
她的现金余额c,包括她的个人销售收入、存款、取款和现金资金。例如,如果她最初以 10 ETH 的标记价格出售 0.5 perps,然后提取 3 ETH 并收到 0.01 ETH 的现金资金,那么她的现金余额将为 5 – 3 + 0.01 = 2.01 ETH。
她的抵押品 NFT 价值当前的指数价格i1。例如,如果当前的指数价格也是 5 ETH,那么她的一个 NFT 抵押品价值为 5 ETH
在标准的 perp 公式中,如果爱丽丝的负债超过她的抵押品和现金,即如果:

在这种情况下,Alice 可以在标记上升m1到足够高的任何时候被清算。这在我们的案例中是不可取的,因为我们希望 NFT 持有者失去他们的 NFT 的风险尽可能小。
因此,我们不是根据标记价格m1对爱丽丝进行清算,而是使用当前指数价格i1。那么爱丽丝在这种情况下清算::

如上所述,我们从不允许爱丽丝的现金余额c为负,因此爱丽丝只能在以下情况q > 1;或者如上所述,如果实物资金迫使爱丽丝的空头头寸规模超过她拥有的 NFT 数量抵押品。
如果指数和标价之间没有出现极端的分歧(这取决于执行情况),这应该是一个罕见的和可预见的事件,如果有必要,给爱丽丝足够的时间来重新抵押她的账户。
当然,这种设计选择涉及到一个权衡:如果在NFT支持的空头被清算时,标价高于指数价格,这些清算的收益可能发生在指数价格或是低于指数价格的时候,这可能不足以支付空头的义务,而这些义务是以标价计价的,因此多头将无法得到他们所欠的所有款项。
只有当标价远远高于指数价格时,才会出现重大的差异,而这在一个完善的系统中应该是比较少见的情况。这是因为,正如《Everlasting Options》一文中所展示的,一个永久的期货通过无套利等同于一篮子到期的期货,而这些期货本身通过无套利等同于一篮子债券和实物NFT。

https://www.paradigm.xyz/2021/05/everlasting-options/
不管怎么说,如果这种权衡带来的风险太大,可以以增加NFT清算的风险为代价取消这一功能。
清算以NFT为支撑的空头
如果以NFT为支撑的空头确实必须被清算,他们的NFT将被拍卖,所得款项用于买回他们的空头头寸,任何超额部分将返还给NFT的原始持有人。
通过使用fractional.art这样的服务出售NFT的一部分来执行部分清算也是可能的。

https://fractional.art/
自愿清算
在某些情况下,一个项目的底价可能已经上涨了很多,以至于由NFT支持的空头缺乏资金来回购他们的perps和赎回NFT。在这种情况下,空头可能会触发 "自愿清算拍卖",可能涉及部分出售,以弥补他们的债务并收回超额部分。由于没有破产的风险,这种拍卖可能比典型的清算拍卖有更宽松的参数。
流动性和动态抵押要求
允许空头用NFT而不是现金来抵押他们的头寸,在某些情况下会使系统面临流动性问题。
例如,设想爱丽丝用一个NFT作为抵押品卖出一个perp,鲍勃以1ETH的价格买入。然后perp的价格跳升至6ETH。鲍勃准备从他的多头中获取5个ETH的利润,而查理也想买入。
现在,如果协议允许查理以2倍的杠杆购买,他只需要存入3个ETH。然而,即使爱丽丝没有从她的原始销售中提取任何ETH,查理的3个ETH存款加上系统中已有的1个ETH,加起来只有4个ETH,不足以让鲍勃从他的销售中获得5个ETH的利润。
因此,只要系统资本不足,我们就会提高对新买家的抵押品要求,以确保卖家有足够的流动性。
最基本的方法是要求买家在系统资本不足的时候为他们的购买提供全额抵押。例如,在上述情况下,这意味着查理必须支付整整6个ETH来建立一个多头头寸,这样一来,系统中总共有7个ETH,鲍勃可以索取他的全部5个ETH利润。
更复杂的方案是可能的,而且可能提供更好的用户体验。例如,系统可能会随着资本化程度的降低而逐渐提高抵押品要求,而不是突然切换。
如上所述,最重要的问题是指标的可靠性和现货NFT交易的流动性。如果有好的解决方案,那么可能性是无穷的。
例如,如果我们能找到一个合适的指数,我们就可以不仅为一个项目的地板价,而是为包含某种属性或属性组合的NFT创造永久的市场。我们甚至可以将NFT拆分为代表其组成部分的合成物,并将其重新组合成代表某些论题的新合成物。
核心清算机制也可用于其他产品,如以NFT支撑的即时贷款。当然,这个框架也可以稍加调整,在地板NFT交易市场中提供永久的覆盖性看涨期权。

https://www.paradigm.xyz/2021/05/everlasting-options
标签:TOKTOKEERPLOTCoinzix TokenCoinPark Token NewXPERPSThe Sandlot
构建于Solana之上,大逃杀系P2E元宇宙游戏Nyan Heroes宣布其完成种子轮融资。 Nyan Heroes简介Nyan Heroes是一款第三人称射击类大逃杀游戏,并致力于成为首款对战.
撰文:Funky 尽管今年下半年 NFT 一时风头无二,但 DeFi 仍然是支撑整个加密行业成长的中坚力量.
分布式存储与分布式云计算作为Web3.0的重要基础设施,将加快推动相关行业的数字化转型进程,构建商业新场景,促使经济社会发生深刻变革.
不到一周的时间内从最低价1.16U涨至1.79U,全球首个AI知识图谱分布式存储项目EpiK铭识协议通证EPK近日在二级市场表现亮眼!大盘回暖之际仍能从其他竞争者中脱颖而出.
截至2021年10月4日,整个DeFi的锁仓量达到了1940亿美元,在各公链中,以太坊上应用的锁仓量为1334.6亿美元,占整个DeFi的68.8%,占据绝对的统治地位.
此前我们在《边社交边赚,NFT 社交平台?Only1?如何协调创作者与粉丝利益?》一文中概览了 Only1 中关于创作者、粉丝的具体经济设计,及其所能带来给创作者和粉丝的收益可能.