摘 要
本文把现阶段的元宇宙理解为一种不完全契约的世界,并构建了一个不完全契约理论模型来分析元宇宙的秩序。我们根据互联互通的程度比较了四种模式:诸侯国模式、联合国模式、大一统模式和区块链模式。主要结论是:第一,无论是考虑互联互通的投资,还是考虑社会总福利水平,区块链模式都优于联合国模式,后者又优于诸侯国模式;第二,相对于大企业,小企业更愿意在互联互通方面投资;第三,当互联互通的收益比较低时,两个企业组成一个小的元宇宙比三个企业组建一个大的元宇宙能够带来更多的利润。本文的研究表明,目前应该鼓励元宇宙平台做大做强,加强互联互通,并争取制定国际规则的主导权。
文章信息:元宇宙的秩序:一个不完全契约理论的视角;聂辉华,李靖;《产业经济评论》
一、问题提出
2021年可谓元宇宙(Metaverse)的元年。3月,游戏平台公司Roblox在纽约交易所上市,成为“元宇宙第一股”;4月,芯片公司英伟达(Nvidia)发布了元宇宙虚拟工作平台Omniverse;10月,社交媒体网站脸书(Facebook)宣布公司改名为Meta(元宇宙)。11月,软件巨头微软推出新的视频会议软件Mesh for Teams,以实现全息体验。中国企业同样跃跃欲试,以各种形式进入元宇宙领域。腾讯、阿里巴巴、百度、字节跳动、华为、中国电信等互联网公司或者对元宇宙平台(游戏)进行股权投资,或者准备开发相关产品。工商登记注册数据显示,至少有960家公司正在申请包含“元宇宙”名称的商标,申请总量接近6400条(天眼查数据研究院,2021)。
目前,并没有一个元宇宙的统一定义。一般认为,元宇宙是整合多种新技术而产生的新型虚实相融的互联网应用和社会形态。它基于扩展现实技术提供沉浸式体验,以及数字孪生技术生成现实世界的镜像,通过区块链技术搭建经济体系,将虚拟世界与现实世界在经济系统、社交系统、身份系统上密切融合,并且允许每个用户进行内容生产和编辑。相对而言,定义元宇宙不是什么比较容易。元宇宙的最早研究者之一鲍尔认为,元宇宙不只是一种虚拟世界或VR(虚拟现实),也不只是一种数字经济或游戏,也不只是一种新的应用程序(App)或用户原创内容平台(UGC)。在他看来,元宇宙至少需要以下八种要素的支撑:硬件(比如AR、VR),网络,算力,虚拟平台,交换工具和标准,支付手段,内容、服务和资产,用户行为(包括消费、投资和决策)。简单地说,元宇宙是一个与现实世界平行的、并且与现实世界实现互动的虚拟世界。乐观地说,元宇宙就是既PC(电脑)互联网、移动互联网之后的第三代互联网。
本文认为,现阶段的元宇宙具有不完全契约(incomplete contract)的典型特征。因为目前的元宇宙,完全是一种野蛮生长的状态,在很多方面缺乏基本的规则,甚至脱离了政府的监管。
第一,在技术标准方面,缺乏互联互通的规则。互联网的本质是联通,因此不同平台开发的各个小元宇宙,必须能够联通才能发挥最大价值。由于元宇宙产业处于萌生初期,不同的元宇宙之间在硬件和软件的兼容标准、用户在不同平台的转换、系统内外的支付标准(例如代币或NTF)等涉及互联互通的重要事项上,都没有形成共识和国际标准,只能通过双边谈判来解决。而双边谈判又涉及对各方投资成本、权益的计算,但这些关键变量往往是可观察而不可证实的。例如,对于游戏平台来说,决定营业收入的用户日活量(DAU)是一个行业内企业都可以测度和证实的数字,但是它带来的收益却很难向外界证实,也无法转移。在这个意义上,用户日活量类似于企业经理人的在职消费、职业声誉、人力资本积累等私人收益,是一种不可证实、不可转移的变量。
第二,在内容方面,元宇宙里没有明确的道德和法律标准。目前,元宇宙的主要内容是各大平台(例如美国Roblox)提供的各种游戏。每个玩家都可以自己开发游戏,游戏规则由自己决定,而且游戏之间存在激烈的竞争,开发者必须标新立异。在这种虚拟世界里,玩家可以为所欲为,包括打斗、杀人、组建军队和建立帝国。
第三,在产权方面,存在很多模糊地带。不管是数字资产的确权,还是用户数据的所有权和使用权归属,目前都属于法律的灰色地带。此外,还有虚拟世界对现实世界的侵权责任归属问题(类似自动驾驶撞人问题),也缺乏明确的法律法规。
第四,在国际监管方面,法律法规非常不完善。在现实世界的国际贸易方面,由于涉及各个国家不同法律体系、行政管理的差异和巨大的协调成本,这导致国际贸易契约通常是高度不完全的。在元宇宙里,除了内容的合规性,还涉及货币发行、税收、意识形态、恐怖主义等关乎国家安全和国家主权的问题,并且由于数字技术可以更好地穿越国际贸易壁垒,这就导致元宇宙的国际监管更加不完善。既然元宇宙涉及国家主权和国家安全,那么各个国家之间会为了争夺虚拟世界的控制权或者国际互联网的主导权而竞争,这种国际博弈格局无疑会进一步加剧元宇宙在监管规则方面的不完善和政策不确定性。总而言之,如果把元宇宙内部和不同元宇宙之间的所有交易、协议和互动行为都看作是一种契约的话,那么这种契约在很大程度上体现了不可预见的因素,难以描述的特征以及难以向第三方证实的变量。这种契约是一种典型的不完全契约。
在这样一个不完全契约的世界里,我们关心的问题是:什么是元宇宙的最优秩序?具体来说,如果每个企业都创办了小的元宇宙,那么不同的元宇宙之间以什么关系共存?它们之间如何互动?什么样的治理机构能够鼓励企业投资并实现利润最大化?为了回答上述问题,本文聚焦于元宇宙的关键问题——互联互通问题。我们假定,如果两个企业(小的元宇宙)能够实现互联互通,就意味着它们之间就技术标准、内容生产、产权和交易规则达成了一致意见。互联互通可以看做是一种介于一体化(integration)和非一体化(non-integration)之间的组织边界。
本文构造了一个不完全契约模型来研究元宇宙的秩序。我们聚焦于互联互通问题,并根据互联互通的程度比较了四种模式:诸侯国模式、联合国模式、大一统模式和区块链模式。我们假设每个企业(小的元宇宙)可以做出两种投资:一种是企业专用性投资,它通过增强企业的特色带来收益;另一种是互联互通投资,它会增加企业的协调收益,但是会导致额外的成本(例如部分深度用户的使用时间下降)。因此,每个企业必须在专用性投资和互联互通投资之间权衡取舍。两种投资的成本和收益都是不可证实的,其投资激励依赖于特定模式。我们发现了如下结论:第一,无论是考虑互联互通的投资,还是考虑社会总福利水平,区块链模式都优于联合国模式,后者又优于诸侯国模式;第二,相对于大企业,小企业更愿意在互联互通方面投资;第三,当互联互通的收益比较低时,两个企业组成一个小的元宇宙比三个企业组建一个大的元宇宙能够带来更多的利润。
本文在以下三个方面对现有文献提供了贡献。
第一,本文丰富了不完全契约理论的应用。经典的不完全契约理论假定企业的边界由它所包含的物质资产所构成。本文从两个方面扩展了不完全契约理论的应用。一是将不完全契约理论扩展到一个包含了数字资产的虚拟世界之中,并且发现在虚拟世界中(数字)资产所有权也是重要的,它同样会影响收益分配并进而影响投资激励。二是讨论了一种新的契约关系:互联互通,它既不是两个企业完全独立的非一体化状态,也不是两个企业合并为一家企业的状态。它有点类似于上下游企业之间的供应链关系或者企业联盟。
第二,本文将企业理论和经济学文献结合起来。哈特认识到,在不完全契约下,权力是重要的,并且应该是企业理论的核心问题。但是,已有的企业理论在讨论企业的边界或内部组织设计时,主要讨论的权力是资产控制权。本文则将国家竞争引入企业的互联互通问题,除了讨论企业之间的协调问题,还讨论了企业及其背后的国家之间的联盟问题,从而将企业理论和经济学结合起来。此外,尽管已有文献讨论了电信企业之间的互联互通问题,但都是基于产业组织理论的视角,而没有考虑不完全契约和国家之间的竞争。
第三,本文为元宇宙文献提供了数理模型。尽管元宇宙已经成为一种热门现象,但是关于元宇宙的学术文献还非常稀少。例如,吴桐、王龙认为,大型互联网平台构建的元宇宙存在三个缺陷,过于中心化、加剧数据垄断和金融渗透、难以解决互操作性问题(即形成各自封闭的小圈子),因此他们认为基于区块链技术可以实现去中心化,完成数据的确权、定价和交易,应该是未来元宇宙的基本形态。吕鹏从人的发展视角,指出元宇宙既促进劳动时间的自由,又能促进劳动空间的自由,甚至使得人类有可能在虚拟世界实现永存。方凌智、沈煌南分析了元宇宙构建的技术基础和人文基础,以及技术、人文的交互促进作用。此外,他们还讨论了元宇宙实现的必然性和元宇宙对产业发展的作用。郑磊、郑扬洋(讨论了元宇宙发展可能存在的问题,包括虚拟数字商品的价格可能导致收入差距扩大,去中心化的区块链技术在中高频交易场合仍很难投入使用,以及元宇宙带来的社会治理和监管难题。与上述文献不同,本文是第一篇构建了元宇宙数理模型的文章,并从经济效率的角度,讨论了元宇宙的治理模式问题。
本文剩余部分的结构是:第二节构建了一个不完全契约理论视角下的互联互通模型;第三节比较了四种元宇宙模式,得出了本文的主要命题或推论;第四节是结论和政策启示。
二、模型设定
1、模型假设
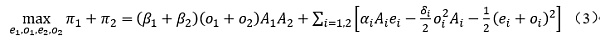
在一个元宇宙中,有两个参与人,它们是两个企业或者两个小的元宇宙,记为企业i,i∈{1,2}。每个企业都拥有一些资产Ai,比如深度活跃用户群、专利、应用场景、算法或设备。这些物质资产或数字资产是可以证实的,并且成为识别企业边界的关键变量。每个企业可以做出企业专用性投资 (firm-specific investment)ei,比如适用于特定客户群体的算法、某些虚拟场景的渲染方法,这样可以通过塑造游戏或社交平台的特色来提高自身价值;也可以做出互联互通的投资oi,通过提高和对方企业在技术、设备、内容等方面的兼容性以及降低用户转换成本,这样可以增加两个企业之间的协调收益。如果两个企业实现了互联互通,那么每个企业的利润为:

其中,j=3-i,代表另外一个企业。等式(1)右边第一项代表了企业专用性投资带来的收益,第二项代表互联互通带来的收益,第三项代表企业推进互联互通的额外成本,第四项代表企业付出的总投资成本。这样设定的理由是:假设企业进行专用性投资的带来的收益与其用户数量、应用场景等资产正相关;互联互通能够为用户带来更丰富和便捷的体验,为用户创造更大价值,这部分收益与两家企业原本的业务量和两家企业付出的互联互通努力都有正向关系,其中μ∈[0,1],代表了协调效率;企业i为互联互通付出的投资,可能会导致其损失一定的原有收益,这部分损失与企业资产有关,比如开源部分代码意味着放弃部分收费权,允许用户自由转移会存在深度用户将部分精力转移到其他平台的风险,等等。对于苹果公司这样已经形成了独立生态的企业来说,用户数比较稳定,在原有系统上继续优化会带来很高收益,一旦开放给竞争对手可能对原有业务造成较大冲击,此时αi和δi很大,βi很小;反之,对于一些初创企业来说,αi和δi很小,βi很大。
由于元宇宙里没有统一的法律法规,并且所处的虚拟环境非常复杂和非常独特,因此企业的投资水平、投资成本和收益都是双方可以观察但是难以向第三方证实的。例如,某个企业为了和对方企业互联互通,减少了用户转换成本,但是这种努力的成本和收益很难被法院或者其它第三方所证实。这意味着,双方之间的信息是对称的,但是双方之间的任何协议或交易都是一种不完全契约。
如果企业付出努力e_i和o_i,但是最终两家企业的系统没有互联互通,则企业i的利润如下,此时企业没有互联互通的收益,但是也不需要承担互联互通的额外成本。

为了简便,假设两家企业之间的博弈只持续一期,双方均不存在财富约束,也不考虑贴现。博弈时序如下:(1)在日期0,两个企业签订一个契约,以资产为界确定两者的关系或产权结构;(2)在日期1,两个企业分别做出专用性投资和(或)互联互通投资;(3)在日期2,两个企业根据它们之间的关系,通过再谈判分配互联互通产生的收益(如果有的话),最终两个企业都实现利润最大化。
2、四种模式
我们将讨论两个企业或者更多企业之间存在的四种模式(如图1所示),或者说四种治理结构。(1)诸侯国模式(Ducal states mode):两个企业保持独立,但每个企业可以与对方进行单向联通,并且对方不能拒绝。如果联通发生,每个企业单独得到联通带来的协调收益,但必须单独承担联通的成本。接受单向联通的一方可以得到额外的协调收益,且无需为此付费。(2)联合国模式(United Nations mode):每个企业保持独立,当且仅当双方都同意时,才能进行互联互通。由于投资的成本和收益都是不可证实的,因此在分配互联互通的收益时,会发生再谈判。一方可以拒绝互联互通为威胁来索取更多租金,这就是所谓的敲竹杠(holdup)。我们遵循已有文献的做法,假设双方在再谈判时根据纳什谈判解(Nash bargaining solution)分配互联互通所产生的额外收益,即每个企业得到一半的合作剩余。(3)大一统模式(Single mode):企业1兼并了企业2,即获得了企业2的所有资产,此时两个企业就变成了一个企业内部的两个相对独立的业务单元。企业1可以决定是否进行互联互通,并且双方按照纳什谈判解分配协调收益。这意味着,企业2的经理人具有一定的人力资本专用性,因此即便失去了资产所有权,也有一定的谈判力。(4)区块链模式(Blockchain mode):借助区块链技术的可证实性,所有的成本和收益均可证实,此时双方在事前签订一个智能契约(smart contract),然后根据某个规则分配互联互通产生的收益,没有讨价还价问题。如果互联互通没有发生,则不存在收益分享。注意到,在所有四种模式下,互联互通都是每个企业的内生决策。由于双方能够预期到各自的投资成本和收益,并且总是可以进行事后科斯式谈判,因此理性的双方一定会在日期0选择一种能够实现总利润最大化的契约安排。这意味着,我们根据逆向归纳法求解每种模式下的博弈问题时,我们得到的解都是约束条件下的最优解。然后,我们对不同模式下的最优解进行比较,进而找出最能够实现社会福利最大化的模式。

(1)情形1:社会最优
作为一个标尺,我们先考虑最理想的状况“社会最优”(first best)。在社会最优情况下,不存在信息不对称、契约不完全和利益冲突,协调效率达到最高值1。最大两个企业的总利润,得到社会福利最大化的数学规划:



由于我们主要关注互联互通投资oi,因此简便起见,假设对于i∈{1,2},均有(βi+βj ) Ai Aj-αi Ai<αi δi Ai2,则不需要考虑专用性投资ei的角点解。此时两个企业的总利润所构成的社会福利水平为:

(2)情形2:诸侯国模式
社会最优毕竟只是理想情况。因此,接下来我们考虑四种在目前以及未来的元宇宙里可能存在的四种模式。首先考虑诸侯国模式。此时,每个企业的投资水平、投资成本和收益都是不可证实的,两个企业之间处于一种不完全契约状态。每个企业非合作地做出专用性投资和互联互通投资。每个企业都不能阻止交易对手的单向联通,并可以从单向联通中获得额外的协调收益,但不能在事后以中止互联互通为威胁进行敲竹杠。在诸侯国模式下,企业i的利润最大化问题为:

(3)情形3:联合国模式
在联合国模式下,两个企业仍然保持独立。与诸侯国模式不同的是,此时只有双方一致同意才能实现互联互通。如果实现了互联互通,那么双方在不完全契约下根据纳什谈判解分配协调收益;如果没有实现互联互通,那么双方将只获得专用性投资带来的收益,并且没有单向联通的收益。此时,企业i的规划变为:

(4)情形4:大一统模式
在大一统模式下,假设企业1兼并了企业2。两个企业合并或者一体化之后,企业1掌握获得了企业2的全部资产,并拥有控制权。两家企业从市场关系变成了企业内部的契约滚西,相当于一个企业内部的两个经营单元,它们仍然独立运营、独立决策,双方在不完全契约下根据纳什谈判解分配互联互通带来的净收益。? 但是有两点变化:一是企业1从企业2那里获得了更多的资产,从而提高了其专用性投资收益和互联互通收益,这可以理解为资产增多导致外部选择权(outside option)提高;二是企业1兼并企业2之后,可以用命令或权威机制取代价格机制,从而大幅提高内部的协调效率,使得互联互通的效率系数μ达到最大值1。
则有,企业1的规划问题变为:

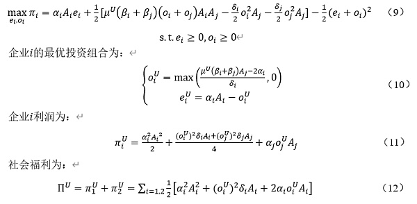
(5)情形5:区块链模式
区块链是一种基于互联网的交易记账方式,它具有分布式、防篡改和匿名性的特点。假设随着区块链技术的成熟,企业间可以无成本完成信息互认,即企业的投资成本和收益以及参数αi、βi、δi均可向第三方证实,而且企业i可以通过智能契约设计一种支付规则,自动根据oj向企业j支付报酬,无需进行事后谈判。假设由企业1制定规则,博弈时序如下。在日期1/3,企业1设定利润转移系数τ,τ∈[0,1];在日期2/3,企业1和企业2各自选择投资水平ei和oi;在日期1,双方互联互通,产出实现,
在时期1,τ已经确定,此时,企业i的规划问题为:

三、结论及政策含义
元宇宙代表着人们对下一代互联网的构想,因此对元宇宙的研究具有非常重要的理论意义和现实价值。本文把元宇宙理解为一个不完全契约的世界,并讨论了什么是最优的元宇宙秩序。我们比较了四种元宇宙的治理结构:诸侯国模式、联合国模式、大一统模式和区块链模式。我们认为:
(1)区块链模式优于联合国模式,联合国模式优于诸侯国模式;
(2)相对于大企业,小企业更愿意在互联互通方面投资;
(3)当协调成本较高时,两个企业组成一个联盟与第三个企业对抗是一种均衡。
本文的研究对元宇宙治理以及对我国争取国际互联网主导权提供了重要的政策含义。
首先,不同的发展有不同的元宇宙最佳模式。在元宇宙发展的初期,各个元宇宙平台规模较小,规模效应不显著,同时每个元宇宙平台的专用性投资非常重要,此时诸侯国模式是最佳的;在元宇宙发展的中期,元宇宙的规模效应比较明显,而专用性投资的重要性下降,此时大一统模式是最佳的;在元宇宙发展的成熟阶段,互联互通带来的网络外部性更加重要,并且互联互通的规则逐渐形成了共识,此时区块链模式是最佳的。
其次,推动元宇宙平台产业大力发展,关键是推动区块链技术落地,提高元宇宙平台企业之间的协调效率,并且鼓励元宇宙企业均匀发展。目前,我国的元宇宙产业在硬件设备方面具有一定的优势,但元宇宙平台之间缺乏互联互通,并且企业规模不均匀。下一步的政策要鼓励元宇宙企业百花齐放,防止一家独大,这样才能通过同质竞争提高整个产业的效率。
再次,鼓励国内元宇宙平台做大,并利用中国网民数量大、数字经济发达的优势,进一步走出国门,争取元宇宙的国际规则主导权。目前,美国企业在元宇宙产业中占据了技术优势,韩国和日本政府对此高度重视。例如,2021年5月18日,韩国科学技术和信息通信部发起成立了“元宇宙联盟”,成员包括三星、韩国电信(KT)、SK电信、现代汽车等500多家公司和机构。日本经济产业省发布了《关于虚拟空间行业未来可能性与课题的调查报告》,指导元宇宙产业的发展。中国必须利用后发优势,迎头赶上。2021年12月21日,上海市委经济工作会议指出,要引导企业加紧研究未来虚拟世界与现实社会相交互的重要平台,高度重视终端产品具有的技术迭代主导权、行业标准定义权、价值格局分配权。我们认为,这是非常有远见的政策。
随着 Juno Network 17号提案的正式发布,持续两周的Juno巨鲸制裁事件似乎走到了新的转折点.
Cosmos是Tendermint团队推出的一个支持跨链交互的异构网络,它是一个使用IBC(区块链间通信)协议交换数字资产和数据的应用程序和服务生态系统。 Cosmos 被誉为「区块链的互联网」,也被认为是区块链的 3.0 版本,旨在解决区块链交互操作和可扩展性问题,其区块链间通讯协议可以实现区块链的互联,支持不同区块链之间的资产转移。
前沿 DAO 的运作是一个新兴的加密垂直领域,它初具雏形,其服务功能仍有待探索和完善。目前,已经有1000多个 Snapshot 空间、70万个治理代币持有者,超过100亿美元的 DAO 资金...... 这一切都表明,互联网原生组织的运营部门中蕴藏着创造巨大价值的机遇。
据 Crunchbase 数据,2021 年,知名对冲基金及风险投资公司 Tiger Global 参与投资的项目达到了 358 个,已远超过 a16z、红杉、光速等一众知名 VC.
“元宇宙就像社会,处于一个不断演变的状态之中,你可以说现在已经进入了元宇宙的原始社会发展阶段,但无法说某样东西就能代表元宇宙.
本期SeerLabs(Twitter:@seerlabs_crypto)将带你走进跨链终局之战 前序: 在讨论本文的话题之前,我们需要声明本文只代表作者个人的意见和想法.