
几天前大洋彼岸的国会山听证会让我们领略到当今世界强大的美利坚争夺下一个时代身位的姿态;从香港《南华早报》网站传来的最新的消息是中国正在探索设立虚拟资产交易场所,中国政府为推进数字人民币试点做出了下一阶段布局——我们也在为下一个时代而谋略。
这是多么鼓舞人心的时刻。而这一切发生的主战场会在元宇宙,这不再是一个概念了,而是涵盖了由区块链技术驱动并集成其他技术文明成果的跨越种族与国界的、经济、文明共同体。
在我们和美利坚两个最大的主权着手布局的时候,「PEOPLE」的出现让我们对元宇宙有了更多的憧憬和期待。
在此背景下,我们尝试以defi,gamefi,socialfi为基础,解析元宇宙经济体系的建构。综合各种因素考虑,本文将分为上、下两部分发布,敬请期待下文。
01DeFi:从数据资产管理到生产要素配置
在元宇宙的建构中,会有很多秩序、规则的革新,比如DeFi不再依赖旧有、低效的基础架构,而是利用密码学、去中心化和区块链来构建新型金融体系。这里没有传统的技术债务、建立在透明、健全的经济和货币政策上,DeFi堆栈的每一层都是可编程的,有着无可比拟的可组合性,DeFi在流动性协议之中已经爆发出了“从0到1”的新能量,这种流动性上的重大创新消除了阻碍当前资本市场的摩擦(中间人、关系和文书工作),实现了现代全球金融市场所需要的无摩擦的流动性流动。
生产要素的优化配置是决定生产力解放的基础条件,这在元宇宙建构进程中同样适用。生产要素包括土地、劳动、资本、技术和信息等,而生产要素的匹配度取决于要素的可流动性。DeFi天然的具有这个功能,并从数字资产管理的实践中迭代、进化中,反哺生产要素的优化配置功能。
以UniswapV3为例,为解决上一版本的资本效率较低问题,引入了流动性分布的概念,允许其用户在价格范围内存入流动性。通过集中流动性,提高资本效率。当存入相同价值的资产时,可以获得更高的流动性和更低的滑点。在某个价格范围内提供流动性也在某种程度上降低了无常损失的风险。
比特币全网未确认交易数量为8053笔:金色财经报道,BTC.com数据显示,目前比特币全网未确认交易数量为8053笔,全网算力为347 EH/s,24小时交易速率为4.18交易/s,目前全网难度为48.71 T,预测下次难度下调0.14%至48.64 T,距离调整还剩11天20小时。[2023/4/23 14:20:44]

将函数向下平移a点的y值,向左平移b点的x值,如上图和等式所示,确保a和b之间的有效交易结果,就像我们使用绿色曲线作为我们的价格决定函数。当价格超出此范围时,其中一个代币储备将被售罄,从而有效地将流动性集中到此价格范围内。在存入流动性时,UniswapV3中每个资产的价值不一定相等。
当当前价格完全超出流动性提供者设定的价格区间时,UniswapV3将流动性提供者的输入算作范围订单(RangeOrder),只允许其存入一种代币。例如,考虑一个由ETH和Dai组成的流动性池。如果设定的价格区间完全高于ETH的当前价格,则只允许用户存入ETH。如果价格区间完全低于ETH的当前价格,则只允许用户存入Dai。当价格完全越过流动性提供者设定的价格区间时,他存入的资产将全部转换为另一种的代币。由于用户只能存入一种代币,范围订单只能实现传统限价订单中四分之二的订单。另一方面,买入止损订单和止损订单无法实现。
参考BTXCapital的分析,这个版本的迭代仍有缺点存在,用户在进行范围订单时只能存入某些类型的代币,因此无法实现买入止损订单和止损订单。进步之处也很显然,UniswapV2和V3在其AMM算法中引入了CPMM和流动性分布,而提供价格范围内的流动性本质上使UniswapV3成为一个通用的AMM,能够通过改变其流动性分布成为任何可能的AMM。
我们以UniswapV3的迭代作为案例介绍势必要放在整个DeFi协议生态的迭代与进化的范式里看才有意义。
网传“李林创办新交易所”系新火科技旗下合规交易平台“新火香港” 面向机构和专业投资者:金色财经报道,网传“李林创办新加密交易平台新火香港”,经金色财经查阅相关公开信息发现,新火香港为港交所上市公司新火科技控股有限公司的全资附属公司。 新火香港于2020年8月获得香港公司注册处颁发的信託或公司服务提供者 (TCSP)牌照,是一个合规虚拟资产交易平台,主要为机构和专业投资者提供服务。目前新火科技主要提供BTC/USD、ETH/USD和USDT/USD三个交易对,但该交易平台暂无交易量。
金色财经此前报道,新火科技前身为火币科技,在10月8日Huobi Global股份全部转让给About Capital的基金后,10月28日火币科技更名为新火科技。李林为新火科技控股有限公司主席及控股股东。根据新火科技官方网站显示,杜均和张丽分别担任公司CEO与CFO。[2023/1/4 9:52:14]
比特币是所有顶级DeFi协议的默认区块链,但比特币的语言相对简单有限,它不适合部署上述应用程序。以太坊凭借其图灵完备编程语言的稳定性和用于创建新代币的ERC20标准,迅速成为一个可用于构建的智能合约平台,一批优秀的先行者在此探路:第一个建立在以太坊上的去中心化交易所EtherDelta——AMA始祖Bancor——MakerDAO——衍生品的流动性协议REN——提供区块链间流动性访问的协议KyberNetwork——链上流动性协议0x——Compound的COMP流动性挖矿——跨链借贷协议Flux——新一代期权工具Vigoss——Aave——借贷Syntix……
这期间出现过多家平台暴雷被盗、以太坊堵塞、Compound、Maker清算失败等黑色事件,但这之后的迭代进化让整个DeFi生态系统变得更加强壮,反脆弱能力越来越强,Compound的COMP流动性挖矿一度带来了一个繁盛的DeFi之夏。但流动性挖矿注定不可持续的,DeFi在元宇宙建构中的角色也是要去流动性挖矿之后才可以考量的,经历着市场急转直下后在反思基础上DeFi的再一次进化,DeFi2.0通过新的机制改变协议和流动性提供者之间的关系,重构了流动性服务本身,比如出现了POL的概念;互操作性协议和跨链流动性可能会变得非常重要,比如跨链借贷协议Flux实现多链间资产的流转,Flux+Vigoss实现借贷协议与期权协议的联动,Vigoss为合成资产、NFT标的、GameFi资产提供永续合约服务;在Layer2的DeFi、以太坊2.0上的DeFi、BTC+DeFi以及新公链上的DeFi之间的竞合……
NFT营销与应用平台Hyakki完成200万美金融资:11月15日消息,NFT营销与应用平台Hyakki完成200万美金融资,由StepVC、DruidVentures领投、MuiltiDao等机构参与孵化。
据悉,Hyakki是致力于为构建Web3及NFT构建营销与应用基础设施,运用AR、现实世界地图、跨链等技术,为Web2与Web3品牌提供营销服务与应用场景。HyakkiNFT是Hyakki平台推出的创始NFT系列。[2022/11/15 13:08:29]
在此总结可见,DeFi1.0时代发挥了其天然的流动性和资产管理的优势,围绕着交易等金融属性蓬勃发展;但进入DeFi2.0要在DeFi生态互操作以及DeFi在整个元宇宙建构中的生产要素配置作用开发潜力,与NFT以及Gamefi的资产的可组合性。
ZeroOne创始人Robin对后DeFi时代拼各家DeFi满足用户金融业务需求的能力有此论述:交易类、借贷类、保险类一起去掉矿后什么业务能生存下去,基本就是寒冬到来的时候的DeFi基本格局。永续合约协议的发展未来一定是去满足小币、新币、合成资产甚至NFT,而交易对不仅要满足usdt、usdc用户,还要迎合更多算稳用户,在内容上和中心化交易所走差异化竞争,在结构上去搭协议乐高、聚合生态。随着区块链上出现越来越多复杂且变化多端的金融组合物,永续合约协议才会全面爆发。Yearn.finance创始人AndreCronje在推特谈论行业发展趋势时表示,目前DeFi行业主流仍是围绕交易的「Tradefi」,未来或将进入偏向游戏化的「Gamefi」,「未来DeFi货币政策或将更游戏化,用户的资金将成为DeFi游戏使用的装备。」
而这些将为我们进入元宇宙做好铺垫,虽然gemifi还只是元宇宙应用场景和重构生产关系的0.01版,但这些行为都是通往从socialfi到AllFi这个人类数字化的物质基础和元宇宙建构的价值基础的必经之路,这些共同完成元宇宙经济体系架构;包括「PEOPLE」的出现,也让我们联想到DAO自治模式与元宇宙经济体系之间的关系……
Aztec Network现允许用户在Aztec上私下将资金借给Euler协议:金色财经报道,基于ZK Rollup的隐私和扩容解决方案Aztec Network宣布借贷协议Euler Finance成为Aztec ERC-4626桥支持的第一个收益协议,Euler使用ERC-4626 wrapper实现协议的借贷,这意味着Euler产生的eToken符合ERC-4626标准,并使Aztec非常容易集成。Aztec Network表示,目前允许用户在Aztec上私下将资金借给Euler协议。[2022/10/9 12:50:25]
最新的消息是,Aave计划支持用户抵押ENS进行借贷;Vigoss、XCarnival等项目正在践行着为元宇宙资产带来流动性的操作。切合本文的主题,来解析一个全新的加密经济模型首先需要针对以下几个问题:
如何保障协议的安全性
如何维护协议的可持续性
如何将不同参与者的经济目标与提高整个网络价值的目标对齐
如何在元宇宙建构中发现DeFi的生产要素配置的价值
一个全新的加密经济模型必须满足以下条件:
底层必须是价值存储的平台,必须能够承载价值、累积价值;
必须在去流动性挖矿之后在结构上去搭协议乐高、聚合生态;
必须绝对的安全,并且具有长期收益的激励机制;
系统安全性与平台上承载的资产一同成长。
下面我们分别介绍一下Flux协议和Vigoss协议:
Flux是一套完整的去中心化借贷协议,基于此协议,任何人都可以适配开发多样的借贷应用程序;Flux是由ZeroOne团队开发的去中心化、安全、非托管的数字加密资产抵押借贷协议。Flux协议采取多链部署的模式,目前已经完成Polygon、Arbitrum、OEC、Heco、BSC、Conflux等公链的部署。
以太坊Goerli测试网将于8月8日至10日左右进行合并:7月22日消息,EthHub联合创始人sassal.eth在其社交网站上表示,以太坊Goerli测试网将于8月8日至10日左右进行合并过渡,这将是最后一个通过过渡的公共测试网。如果Goerli测试网合并一切顺利,那么在 9 月中下旬进行主网合并是极有可能的。[2022/7/22 2:30:11]
FluxV1为超额抵押借贷协议产品,在V1的货币市场上,用户可以存入特定的加密资产赚取利息,也可以通过抵押资产并支付一定的利息借出某种加密资产。
FluxV2为杠杆借贷协议产品,在V2中质押资产作为保证金,可借出数倍的价值的资产去挖矿、去交易。
FluxV3为跨链借贷协议产品,用户可以实现数字资产的跨链存、取、借功能。
供应资产
与Compound协议类似,Flux协议是将每位用户供应的资产聚合在一起,形成一个聚合的货币市场。当一个用户供应资产时,它变成了可变现的资源。流动性提供者可以随时提取资产,不需要等待特定的存款到期日。
货币市场中的余额根据该资产特有的供应利率计息,用户可以实时查看他们的余额;当用户进行更新他的余额的交易时,应计利息被转换成本金并支付给用户。
长期持有CFX或其他资产的用户,可以将资产供应到Flux货币市场,以获得额外的投资回报。比如,拥有CFX的用户可以将他们的CFX资产供应给Flux货币市场,并赚取利息。而无需花费精力管理资产,无需承担投机风险。
借用资产
Flux允许用户通过信用质押轻松借走资产,用户对借出资产拥有完全所有权,可自由支配,可应用到任何其他可以到达的地方。用户无需设定还款日、借款利息等,只需指定需要借走何种资产,即可快速借走资产。如果是跨链资产,还可以一键从Conflux链中借出资产到指定的以太坊或者比特币地址中。
与供应资产类似,每个货币市场都有一个由市场资产利用率决定的浮动利率,该利率决定了借款成本。
为了控制风险,Flux根据风险设定每种资产的抵押因子,不可超额抵押,结合资产价格、余额、抵押因子可为每个账户动态计算借款额度;每个账户可抵押资产并在借款额度内借出资产;抵押资产不可取出,但同样可赚取存款利息。
同时,每个账户的借款余额不得超过借款额度,账户存款额和借款额之比,我们称之为抵押率。当抵押率低于某阀值时将触发清算;用户通过追加存款或者偿还全部或部分借款来提高抵押率,避免资产被清算。
风险与清算
为了降低Flux协议风险,保护流动性提供者,当借款人账户抵押率低于清算抵押率时,该借款人的存款资产将被任意账户清算,以偿还借款到流动性中。清算人必需替借款人偿还所有借款到流动性池中,才能获得借款人的全部存款。
这里,清算抵押率是常量110%,账户抵押率是账户存款和借款额之比。
任何Conflux链上地址均可公平、零阻力参与清算,不依赖任何中心化系统。根据时间优先原则,清算人可将"清算账户"清算。
当账户抵押率远低于清算抵押率,跌破102%时,我们称之为穿(breakdown)仓。此时,Flux协议指定的特定清算人参与清算。穿仓清算必然是亏损的,因此需要清算人在清算资产时需支付6%手续费到特定清算人合约中,作为清算储备金,供穿仓清算使用和提供流动性。
取款限制
为防止借款人提取资产引发清算风险,Fluxe协议强制要求借款人提取资产后抵押率不得低于120%,除非借款人还请所有借款。
去中心化自治(DAO)
Flux协议要求对协议的任何修改都需要通过去中心化自治组织投票通过后才能生效。这是Flux协议去中心化治理的目标。在Flux协议的早期将由Flux开发团队内部管理DAO,在Flux协议实现完成且稳定后,Flux开发团队将会把Flux协议的管理权限移交给社区DAO。
期货市场工具Vigoss做为DeFi2.0时代原生的衍生品项目,具有一下优势与特色:
自动虚拟做市。剥离了交易对与资产的关系,因此用户在交易的过程中可以使用更低的滑点进行交易。
提供15X杠杆,杠杆水平根据每月评估稳步提高,将最终达到50X。
完善的风险控制机制,利用AMM机制,极大程度防止穿仓风险,使区块链中的作恶者如闪电贷攻击需要付出极大的攻击成本。
关于Vigoss协议的详细内容请参考《以Vigoss、Perpetual、dydx为例,解析衍生品在DeFi2.0进程里的演进和前景》里面的介绍,这儿择要介绍一下Vigoss在开发的几个功能:要新增功能杠杆交易,杠杆部分由flux协议信用借款给用户在vigoss上交易;多链发展;为所有长尾资产提供永续合约服务;为合成资产提供永续合约服务;为NFT标的提供永续合约服务。
在《以Vigoss、Perpetual、dydx为例,解析衍生品在DeFi2.0进程里的演进和前景》中我们曾经以vigoss与flux协议的联动效应为例解析在DeFi2.0时代衍生品市场中借贷协议与期权协议如何迭代进化以及前景——在数学上,一切金融产品,无论是股票、债券、期货合约、期权,还是房地产、抵押债券,全部都可以还原成某种形式的期权。背后起支撑作用的,是布莱克—斯克尔斯—默顿期权定价模型。
从数学的角度,可以将抵押贷款理解为看涨期权和看跌期权的组合。债权人不仅是在提供资金,更是在卖出一种奇异期权:如果担保品价格上涨,债务人可以用更低价格买回担保品,债权人必须要以这个行权价卖出。如果担保品价格下跌,债务人就可以用更高价格卖出担保品,这时债权人必须用这个行权价买入。因此,收取的利息,既可以理解成是资金的使用成本,也可以理解成是期权卖方为给买方提供便利而索取的保险费。
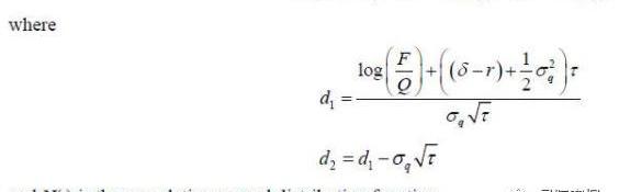
抵押借贷在数学上等价于一种行权价为借贷本金L的「期权」,代入布莱克—斯克尔斯—默顿期权定价模型,解二阶齐次线性抛物型偏微分方程,得到的是:



图中L是一个三元复合函数,为本次抵押贷款视为欧式看跌期权时的价格。Q为担保品价值,F为贷款本金,N代表正态分布变量的累积概率分布函数。Log是自然对数函数ln的非标准写法。
如果把借贷市场视为奇异期权买方和卖方的一场博弈,最优的情况,当然是担保品价格上涨。这时候,借款人可以收回现货,从现货增值中获利;贷出者也可以按期收回本息。整个流程中,比特币在发挥担保品价值,而借贷市场也承担了价格发现的功能。可以预见的是,vigoss与flux协议的联动会有很好的化学反应,而这只是vigoss未来开发计划的一部分,尤其是vigoss为合成资产、NFT标的和GameFi资产提供永续合约服务……这将成为DeFi从数据资产管理/交易到元宇宙建构过程中生产要素配置的跃迁。
为了保持连贯性,我们简要预告下文主要内容:
02GameFi:元宇宙应用场景和重构生产关系的0.01版
03从socialfi到AllFi:人类数字化的物质基础和元宇宙建构的价值基础
声明:文章都不能作为投资建议或推荐;投资有风险,投资应该考虑个人风险承受能力,建议对项目进行深入考察,慎重做好自己的投资决策。
撰文:Footprint分析师Grace数据来源:TheSandboxDashboard日新月异,这个成语用来形容区块链世界是最合适不过的了。每月每周甚至每天都会有新的热点项目出现.
Polkadot生态研究院出品,必属精品 背景 虽然目前来看公链热潮已经过去了一段时间,但依然没有妨碍一些公链继续跑马圈地,也没有导致明显的公链TVL下降,甚至还有一部分公链的数据依然表现强势.
一只猴子到底值多少钱?如果它是来自BoredApesYachtClub的收藏品,那么它至少价值50ETH,在撰写本文时相当于200,000美元.
近年来,区块链技术受到了人们的狂热追捧,虚拟货币成为不少人投资的对象。在这波“炒币”热潮中,一些虚拟货币交易“黑平台”应运而生,“杀猪盘”、“割韭菜局”等套路屡见不鲜.
提到DeFi可能我们率先会想到的是以太坊,以及一些新兴生态比如BSC、Solana以及Terra、Avalanche等.
你能想象一种与世界各地的其他人一起组织的方式,彼此不了解对方但是建立相应的规则,并自主地做出自己的决定,所有这些都编码在区块链上吗?DAO正在使这成为现实.