TL;DR
在上一篇文章Hello,OlaVM!中提到,OlaVM的愿景是建立一个高性能的ZKVM,本文将重点介绍使得OlaVM获得高性能的工具之一,Lookupargument。Lookupargument对缩减电路规模,以提高ZK效率有很重要的作用,在ZKVM的电路设计中被广泛应用,通过本篇文章你可以了解到:
1.Lookupargument在ZKVM中将发挥着怎样的角色?
2.Plookup协议原理。
3.Halo2的Lookupargument协议原理。
4.两个Lookupargument算法之间的联系。
TherolesinZKVM
所谓的ZKVM,其实就是用ZK约束VM所有的执行过程,VM的执行过程一般可以分为:指令执行,内存访问,内置函数执行等。在一个trace里执行对这些操作的约束看起来有点不切实际,首先,不同操作类型的约束对应不同的trace的宽度,如果其中一个约束对应的trace宽度特别大,就会造成其余约束对应trace的浪费;然后,一个trace里有太多不同的操作类型,就会引入更多的selector,不仅会增加多项式的个数,而且还会增加约束的阶;最后,由于群的阶限制,trace的行数不能超过这个群的阶,因此,应该尽量减少某种类型的操作所占用的trace行数。
孙宇晨:SEC诉讼对波场业务和用户没有严重影响,不涉及火必:4月10日消息,波场TRON创始人孙宇晨近日接受FT中文网总编王丰专访。访问中,孙宇晨就SEC诉讼的回应计划、火必Huobi、WTO大使职务以及加密行业在香港、拉丁美洲和美国等地区的发展前景等市场关切的问题做出了解答。孙宇晨表示,美国证券交易委员会(SEC)的诉讼对波场TRON及BitTorrent的业务和用户没有严重影响,且相关诉讼不涉及火必Huobi。
孙宇晨在访谈中称,SEC的诉讼回应将由法律团队处理,且该诉讼不会影响将火必Huobi亚洲总部迁往香港的计划。关于近期HT币价波动处理情况,“99.9%的损失者都与火必达成了满意的和解”,孙宇晨表示。[2023/4/10 13:54:49]
因此,为了简单,我们需要:
a.把不同的操作类型分成多个子trace,然后分别证明,主trace和子trace之间需要通过Lookupargument来保证数据的一致性。
b.对于一些ZK-unfriendly计算,我们可以通过Lookupargument技术来缩减trace的规模,比如位运算等。
当然,也有其他的一些技术手段来减少trace规模,我们将在后面的文章中给予说明。
孙宇晨在Coinbase恢复USDC与美元的兑换后已总计转入超3.5亿枚USDC:3月16日消息,据Lookonchain监测,在Coinbase恢复USDC与美元的兑换后,孙宇晨已向Coinbase转入3.516亿枚USDC。[2023/3/16 13:07:42]
Lookupbetweentracetables
VM所有的执行过程会组成一个完整的trace,称为主trace,这里的完整是包含VM执行的所有状态,不会涉及到辅助状态,比如,方便ZK验证的一些扩展信息等;如前面所述,在主trace里面包含这种辅助信息,会使得主trace变得复杂,难于约束。因此,为了约束方便,通常会建立一些子trace,然后分别针对这些子trace进行约束,而主trace主要用来进行执行正确的程序约束和Context约束。
图片1.Lookupbetweentraces
通过建立不同的子trace,我们把VM执行的不同操作进行划分,通过Lookupargument技术来保证了子trace的数据源于主trace。对于子trace里的数据有效性证明,需要根据具体的操作类型,生成不同的trace,然后用对应的约束去证明trace的有效性;特别是对于bitwise,rangcheck等zk-unfriendly操作。
孙宇晨:波场将是引爆未来Dapp生态的关键,也会是引领Dapp玩法走向的风向标:据最新消息显示,波场大航海时代 4.0全球线上发布会正在进行中,波场TRON创始人兼BitTorrent CEO孙宇晨在发布会中表示:“我们预计将在接下来的一年时间内,Dapp数量增至2-3倍,超越以太坊,成为全球最大的Dapp平台,并在不久的未来成为万级、亿级的Dapp开发平台。全世界的开发者、全球最顶尖的电子通讯企业都将引进波场作为Dapp的基础网络。届时波场将真正成为去中心化金融世界的核心。未来我们还将继续整合波场与BiTorrent的生态资源,打造亿万级用户量的Dapp,拥有能够处理数千万日活用户的区块链技术,并整合Dapp资源,将Dapp完美融合代币经济与交易所生态。波场将会是引爆未来Dapp生态的关键,也会是引领整个Dapp玩法走向的风向标。”[2020/7/8]
LookupforZK-unfriendlyoperations
如前面所述,每个子trace的证明是独立的,所以获得一个尽可能小的trace,会提高prover的效率。以bitwise为例,bitwise操作包含AND,XOR,NOT三种操作。如果想通过电路单纯的实现对bitwise操作的约束,那需要做的可能是,把每个op拆成多个2进制的limbs,如果这些op是32bit位宽,那就会拆分成32个limbs。然后,你需要约束:

总共占用3+32*3=99个tracecell,约束个数为3次sumcheck+32次bitwise=35个。
如果这个时候有一些真值表,对于AND,XOR,NOT计算,你可以定义三个表,这些表里存的是指定位宽的op进行bitwise计算的数据,比如8bit。对于32bit的op,只需要把它们拆分成4个8bit的limbs,然后这些op的limbs之间的bitwise关系,也不用对应的约束去实现,只需要在fixedtable里进行Lookup即可,此时,总共占用了3+4*3=15个tracecell,约束个数为3次sumcheck+1次Lookupargument。
图2.LookupinArithmeticoperations
Lookupargument不仅对bitwise操作的证明有极大的提升作用,对于rangeck操作同样。对于32bit的op,只需要把他拆分成2个16bit的limbs即可;这里有两个很好的设计,一个是会使得rangecheck占用更少的tracecells;另外一个是rangcheck的sum约束可以复用我们自定义的ADD-MUL约束。对于不同的计算类型,能够复用同一个约束,对整体的效率提升具有很大的帮助,如上图所示,对于自定义的ADD-MULgate,它可以支持ADD,MUL,ADD-MUL,EQ,RANGECHECK五种计算类型的约束复用。
Plookup协议
介绍

符号说明

预处理

协议过程

协议理解


Halo2Lookup协议
介绍

协议过程

支持ZK

Extend-1:VectorLookup

Extend-2:Multi-tables

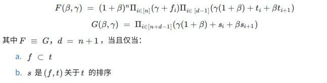
LinksbetweenPlookupandLookup
Plookup协议与Halo2的lookup协议都能证明f?t,但两个协议的思想是不同的,区别如下:
Plookup需要使用f和t构建一个新的数列s,f和t中的元素都在s中至少出现一次,接着通过比较s和t中元素的非零距离集合是相等的来证明s?t,最终f?s?t→f?t。
Halo2的lookup直接证明f?t,不需要构建新的数列,比plookup更简洁。
Plookup和Halo2lookup都需要对集合进行排序和补齐,plookup补齐后|t|=|f|+1,Halo2lookup补齐后|t|=|f|=2^k。
参考
1.Hello,OlaVM!:https://hackmd.io/@sin7y/H1yPj_J8i
2.OlaVM:https://olavm.org/
3.Plookup协议:https://eprint.iacr.org/2020/315.pdf
4.Halo2的Lookupargument:https://zcash.github.io/halo2/design/proving-system/lookup.html
关于我们
Sin7y成立于2021年,由顶尖的区块链开发者组成。我们既是项目孵化器也是区块链技术研究团队,探索EVM、Layer2、跨链、隐私计算、自主支付解决方案等最重要和最前沿的技术。团队于2022年7月推出OlaVM白皮书,致力于打造首个快速、可扩展且兼容EVM的ZKVM。
官网:https://sin7y.org/
白皮书:https://olavm.org/
社群:http://t.me/sin7y_labs
官推:@Sin7y_Labs
微信公众号:Sin7y
邮箱:contact@sin7y.org
研究文章:https://hackmd.io/@sin7y
Github:Sin7y
最新数据显示,截至12月6日,JustLendDAO借贷市场中存款APY最高的是BTT,达到18.93%,其次是JST和WIN,分别达到16.75%、13.70%.
11月10日,波场TRON创始人孙宇晨通过其推特账号表示,会与FTX一起找到解决方案,让事态朝着积极的方向发展.
各位朋友,欢迎来到SignalPlus每日晨报。SignalPlus晨报每天为各位更新宏观市场信息,并分享我们对宏观趋势的观察和看法。欢迎追踪订阅,与我们一起关注最新的市场动态.
可持续性将日益成为区块链行业未来的核心标准。而分析特定区块链的能源效率的方法是,检查其创建和维护信息块的过程:该区块链的用户如何同意记录和验证分布式数据库每个块中包含的信息,换句话说,如何达成共.
2022年,波场TRON参与了行业每一个重要叙事,站在不同的角度,每一次叙事都展现了波场全新的身份。2022波场TRON展示的硬核身份有哪些,我们将通过系列海报来一一揭晓.
商品放置于商场货架售卖,商品产商根据协议支付上架费用然后等待金钱交易,一切都在规则内实行,看上去也是多数商业默认的过程.