编者按:本文来自慢雾科技,Odaily星球日报授权转载。

前言
据链闻消息,4月18日,Tokenlon宣布暂停imBTC转账,因其发现有攻击者通过ERC777在Uniswap流动性合约中的重入漏洞,对ETH-imBTC池循环套利。此次的攻击手法是一个存在于Uniswapv1上的已知漏洞,该漏洞最早由Consensys于2019年4月发现,当时Consensys只是发现了该风险,还没有发现可以利用这种手法进行攻击的token。随后,在imBTC上线Uniswap后,由于imBTC是基于ERC777实现的,通过组合ERC777的特性及Uniswap代码上的问题,使攻击者可以通过重入漏洞实现套利。下面,我们将来分析此次套利中的攻击手法和具体的细节。知识准备
ERC777协议是以太坊上的代币标准协议,该协议是以太坊上ERC20协议的改进版,主要的改进点如下:1、使用和发送以太相同的理念发送token,方法为:send(dest,value,data)2、合约和普通地址都可以通过注册tokensToSendhook函数来控制和拒绝发送哪些token3、合约和普通地址都可以通过注册tokensReceivedhook函数来控制和拒绝接受哪些token4、tokensReceived可以通过hook函数可以做到在一个交易里完成发送代币和通知合约接受代币,而不像ERC20必须通过两次调用来完成5、持有者可以"授权"和"撤销"操作员这些操作员通常是交易所、支票处理机或自动支付系统6、每个代币交易都包含data和operatorData字段,可以分别传递来自持有者和操作员的数据7、可以通过部署实现tokensReceived的代理合约来兼容没有实现tokensReceived函数的地址在这里,我们需要特别关注的点是第二点,即ERC777标准中的tokenToSend函数,根据ERC777协议的定义,遵循该标准的token代币在每一次发生代币转账的时候都会去尝试调用代币发送者tokensToSend函数,而代币持有者可以通过在ERC1820注册合约注册自己的合约并通过在这个hook函数中定义一些操作来处理代币转账的过程中的某些流程,如拒绝代币发送或其他操作。了解这些关键点,有助于我们理解这次攻击的具体攻击手法。现在开始,我们可以稍微加速,看看对于Uniswap而言,这次到底发生了什么?细节分析
慢雾:Distrust发现严重漏洞,影响使用Libbitcoin Explorer3.x版本的加密钱包:金色财经报道,据慢雾区消息,Distrust 发现了一个严重的漏洞,影响了使用 Libbitcoin Explorer 3.x 版本的加密货币钱包。该漏洞允许攻击者通过破解 Mersenne Twister 伪随机数生成器(PRNG)来访问钱包的私钥,目前已在现实世界中造成了实际影响。
漏洞详情:该漏洞源于 Libbitcoin Explorer 3.x 版本中的伪随机数生成器(PRNG)实现。该实现使用了 Mersenne Twister 算法,并且仅使用了 32 位的系统时间作为种子。这种实现方式使得攻击者可以通过暴力破解方法在几天内找到用户的私钥。
影响范围:该漏洞影响了所有使用 Libbitcoin Explorer 3.x 版本生成钱包的用户,以及使用 libbitcoin-system 3.6 开发库的应用。
已知受影响的加密货币包括 Bitcoin、Ethereum、Ripple、Dogecoin、Solana、Litecoin、Bitcoin Cash 和 Zcash 等。
风险评估:由于该漏洞的存在,攻击者可以访问并控制用户的钱包,从而窃取其中的资金。截至 2023 年 8 月,已有超过 $900,000 美元的加密货币资产被盗。
解决方案:我们强烈建议所有使用 Libbitcoin Explorer 3.x 版本的用户立即停止使用受影响的钱包,并将资金转移到安全的钱包中。请务必使用经过验证的、安全的随机数生成方法来生成新的钱包。[2023/8/10 16:18:20]
通过Etherscan查询攻击者的其中一笔交易0x32c83905db61047834f29385ff8ce8cb6f3d24f97e24e6101d8301619efee96e
慢雾:Transit Swap黑客攻击交易被抢跑,套利机器人获利超100万美元:10月1日消息,据慢雾安全团队情报,Transit Swap 黑客转移用户 BSC 链 BUSD 资产时被套利机器人抢跑,区块高度为21816885,获利107万BUSD。套利机器人相关地址列表如下:0xa957...70d2、0x90b5...8ff4、0xcfb0...7ac7、
截止到目前,在各方的共同努力下,黑客已将 70% 左右的被盗资产退还到Transit Swap开发者地址,建议套利机器人所属人同样通过service@transit.finance或链上地址与Transit Swap取得联系,共同将此次被盗事件的受害用户损失降低到最小。[2022/10/2 18:37:44]

可以发现,攻击者两度向Uniswap合约转帐imBTC,金额同样是0.00823084,然后从Uniswap收取了两笔ETH,看上去似乎是十分正常的两笔交易,实际上却是暗流涌动,另有玄机。为了更好的了解整一笔交易的细节,我们需要通过bloxy.info来查看交易的具体细节。
慢雾:Titano Finance被黑因池子被设置成恶意PrizeStrategy合约造成后续利用:据慢雾区情报消息,2月14日,BSC链上的Titano Finance项目遭受攻击,损失约190万美元,最初获利地址为0xad9217e427ed9df8a89e582601a8614fd4f74563,目前被黑资金已被攻击者转移到其他23个钱包。该攻击主要由于owner角色可以任意设置setPrizeStrategy函数,导致了池子被设置成恶意的PrizeStrategy合约造成后续利用。[2022/2/14 9:51:14]

通过查询交易的细节,我们发现,攻击者首先是通过ethToTokenSwapInput函数向Uniswap兑换了一些imBTC,然后再通过tokenToEthSwapInput函数开始第一次用imBTC换取ETH,然后Uniswap先将ETH转给了攻击者,再调用imBTC的transferFrom函数,由于imBTC实现了ERC777标准,所以在调用imBTC的trasferFrom函数的时候,imBTC会对攻击者的tokensToSend函数进行调用。随后,在攻击者的tokensToSend函数中,攻击者会进行第二次用imBTC换取ETH,然后流程结束。从交易细节上看,这里似乎还是没有什么问题,我们继续跟踪UniSwap的代码。
动态 | 慢雾: 警惕利用EOS及EOS上Token的提币功能恶意挖矿:近期由于EIDOS空投导致EOS主网CPU资源十分紧张,有攻击者开始利用交易所/DApp提币功能恶意挖矿,请交易所/DApp在处理EOS及EOS上Token的提币时,注意检查用户提币地址是否是合约账号,建议暂时先禁止提币到合约账号,避免被攻击导致平台提币钱包的CPU资源被恶意消耗。同时,需要注意部分交易所的EOS充值钱包地址也是合约账号,需要设置白名单避免影响正常用户的提币操作。[2019/11/6]

上面是代码是Uniswap的ethToTokenSwapInput函数的代码,根据代码分析,Uniswap的ethToTokenSwapInput函数会调用ethToTokenInput函数,然后会先通过getInputPrice获取代币能换取的eth数量,之后通过send函数将eth发给用户,最后再通过transferFrom把代币转进合约。我们继续跟进getInputPrice函数。
声音 | 慢雾:采用链上随机数方案的 DApp 需紧急暂停:根据近期针对EOS DApp遭遇“交易排挤攻击”的持续性威胁情报监测:EOS.WIN、FarmEOS、影骰、LuckBet、GameBet、Fishing、EOSDice、STACK DICE、ggeos等知名DAPP陆续被攻破,该攻击团伙(floatingsnow等)的攻击行为还在持续。在EOS主网从根本上解决这类缺陷之前,慢雾建议所有采用链上随机数方案的DAPP紧急暂停并做好风控机制升级。为了安全起见,强烈建议所有竞技类DAPP采用EOS官方很早就推荐的链下随机种子的随机数生成方案[2019/1/16]

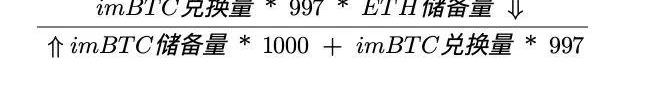
通过分析getInputPrice函数,我们能知道,ETH获取量计算的公式为

把该公式放到ethToTokenInput函数的上下文中,该公式就变成了

在该公式下,一次正常的imBTC兑换ETH的过程中,作为分母的imBTC储备量在兑换过后应该要上升,对应的ETH储备量会变小。

但是回顾攻击者的操作方式,在攻击者第一次发送imBTC兑换ETH的过程中,Uniswap会先发送ETH给攻击者,这时候Uniswap中ETH储备量减少,然后Uniswap调用transferFrom函数,(注意此时还未将攻击者的imBTC扣除),紧接着在transferFrom函数中攻击者调用的第二次的ethToTokenSwapInput时,通过getInputPrice获取兑换的ETH数量的公式会变成这样:

注意看,在第二次的兑换计算中,只有ETH的储备量变少了,而imBTC的储备量并未增加,这导致相比与单独的调用ethToTokenSwapInput函数,攻击者可以通过重入的方式,在第二次使用imBTC兑换ETH的过程中,使计算公式的分子发生了变化,而公式的分母不会发生变化。相比正常的兑换,攻击者通过重入方式进行的第二次兑换会获取微小的利润,导致有利可图。重复这样的过程,就能通过等量的imBTC获取更多的ETH,导致Uniswap做事商的损失。防御方法
在Uniswap的tokenToEthSwapInput函数中加入OpenZeppelin的ReentrancyGuard函数,防止重入问题。在进行代币交换的时候,先扣除用户的代币,再将ETH发送给用户。同时,针对本次攻击事件慢雾安全团队建议:在关键的业务操作方法中加入锁机制,如:OpenZeppelin的ReentrancyGuard开发合约的时候采用先更改本合约的变量,再进行外部调用的编写风格项目上线前请优秀的第三方安全团队进行全面的安全审计,尽可能的发现潜在的安全问题多个合约进行对接的时候也需要对多方合约进行代码安全和业务安全的把关,全面考虑各种业务场景相结合下的安全问题合约尽可能的设置暂停开关,在出现“黑天鹅”事件的时候能够及时发现并止损安全是动态的,各个项目方也需要及时捕获可能与自身项目相关的威胁情报,及时排查潜在的安全风险最后的思考
这两天的DeFi世界被闹得沸沸扬扬,imBTC作为ERC777代币首当其冲,ERC777协议也饱受诟病,但是看完分析,造成此次的攻击事件原因,真的是imBTC或者是ERC777协议的问题吗?如果Uniswap做好了ERC777的兼容,使用ReentrancyGuard,并在代币交换的时候先扣除用户的代币,再将ETH发送给用户,这样的问题是不是就不会发生?imBTC作为以太坊上token化的比特币代币协议,其安全性在自身单独运行的时候并不存在问题,第三方DeFi平台在接入的时候,应需要充分考虑平台本身的业务逻辑与接入代币之间的兼容性,才能避免因兼容性发生不必要的安全问题。而不是简单的将问题归咎于协议和代币提供方。
作者:FabianVogelsteller翻译:Typto翻译机构:DAOSqaure 可逆ICO是一种ICO的新形式.
吴说区块链独家获悉,翼比特矿机的主体亿邦国际已正式提交招股书,开启美股上市之路。招股书称,亿邦国际在2018年和2019年的收入分别为3.190亿美元和1.091亿美元.
距离比特币“减半还剩30天时间,最近的比特币网络活动、需求量有增强和上升的趋势,大V们对比特币减半事件影响也进行了相关评估.
编者按:本文来自万向区块链,作者:邹传伟,Odaily星球日报经授权转载。本文为万向区块链行业研究系列文章之针对Libra2.0的深度研究和分析,作者为万向区块链首席经济学家邹传伟博士.
要点总结 1.2万亿美金2020年Q1数字资产衍生品成交总量破$2万亿大关,较去年四个季度平均值上涨314%.
近日,文艺复兴科技旗下的大奖章基金已经获得批准,参与CME的比特币期货交易,这则消息吸引了大家的广泛关注,也给市场打了一针“兴奋剂”.