撰文|区块链金融分析师.Matlif出品|NEST爱好者已获作者授权发布NESTProtocol于2021年1月20日成功升级到3.5版本,升级后NEST预言机系统增加了两个输出的数据:移动均价和波动率。对用下游合约调用者来说,每调用一次将获取3个数据:实时价格、移动均价、波动率,但是调用者的调用费用并没有增加,维持不变。图表1、2是NESTv3.5近期提供的实时价格、移动均价和波动率走势图。NESTv3.5系统增加波动率、均价指标,是NestCore开发者小组在社区的支持下,为满足下游DeFi对预言机的真实性需求所做的一项重要调整,下面就来具体分析一下NESTv3.5引入均价和波动率预言机的重要意义。首先让我们来了解一下均价和波动率的概念以及NESTv3.5的均价与波动率的计算公式是怎样的。图表1:NESTv3.5提供的实时价格和移动均价

数据来源:Etherscan区块浏览器图表2:NESTv3.5提供的波动率

数据:ProShares旗下做空比特币的ETF上周净空头敞口增加逾300%:7月6日消息,据Arcane Research数据显示,ProShares推出的首只做空比特币的交易所交易基金(ETF)Short Bitcoin Strategy ETF(BITI)上周仅交易四天就成为美国第二大比特币相关ETF,净空头敞口进一步提高,上周共增加逾300%,达3811枚比特币。
此前消息,Short Bitcoin Strategy ETF(BITI)于6月21日上市,不直接投资或做空比特币,而是从比特币期货合约价格下跌中获益。[2022/7/6 1:54:52]
数据来源:Etherscan区块浏览器一、基础概念
1.1波动率Volatility波动率是一个统计概念,主要是用来衡量标的资产价格波动的剧烈程度的,是对资产收益率不确定性的衡量,用于反映资产的风险水平,波动率越高,资产价格的波动越剧烈,资产收益率的不确定性就越强;波动率越低,金融资产价格的波动越平缓,资产收益率的确定性就越强。不同的标准下,波动率可以进行不同的分类,按照波动率的计算方法与应用不同,波动率可以分为:隐含波动率、历史波动率、已实现波动率(高频波动率/日内波动率)、实际波动率、预期波动率等几类。1.2移动均价移动均价是指对价格进行移动平均计算,以对原价格的时间序列数据进行修正,从而消除季节变动和个别不规则变动对整体数据的影响,以反映长期趋势的方法。移动均价的本质是一种低通滤波,它的目的是过滤掉时间序列中的高频扰动,保留有用的低频趋势。移动均价是一个最老也是最流行的一种分析时间序列的常用工具。流行的移动平均包括简单移动平均、加权移动平均、指数平滑平均。二、计算与衡量
交易员:比特币逼近阻力位,若上破失败则可入场做空:TradingView交易员阿特拉斯表示,比特币逼近阻力位,若上破失败则可入场做空。(金十)[2021/3/1 18:04:13]
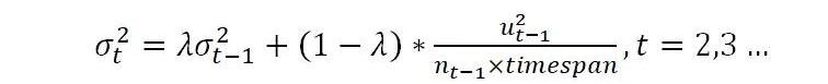
2.1波动率的计算与衡量由于价格是一个随机过程,实际的波动率永远是一个未知数,或者说,实际波动率是无法事先精确计算的,人们只能通过各种方法得到它的估计值,这类似于统计学中总体参数的概念,总体参数一般是未知的,需要通过样本统计量去估计,价格的标准差就是最简单最常见的波动率统计量,同时样本和时间周期的选择都对波动率有较大的影响。考虑到链上的计算费用,我们采用指数平滑移动平均模型来计算NEST有效报价的波动率。时间比较久远的变量值的影响力相对较低,时间比较近的变量值的影响力相对较高。指数平滑法对波动率的计算需要保留上一个的波动率值和最近连续两个价格数据即可,运行也相对简单很多,这是一个很好的减少内存空间和gas费消耗的做法。NESTv3.5提供的波动率指标具体计算方法如下。假设NEST预言机区块价格服从几何布朗运动模型或资产价格的对数收益服从几何布朗运动模型。设:

24H成交13.7亿USDT BTC千倍合约做空人数占优:AOFEX交易大数据显示,截至今日10:00,永续合约交易量达13.7亿USDT,其中ETH/USDT永续合约交易量为2.66亿张,现报价547.24USDT。BTC/USDT永续合约交易量为5.94亿张,现报价18219.6USDT。BTC千倍合约交易量为1.80亿张,多空持仓人数比为0.92,市场空人数暂时占优。
AOFEX数字货币金融衍生品交易所,旨在为用户提供优质服务和资产安全保障。[2020/12/9 14:39:46]
则当期波动率可指数平滑移动平均模型来计算,公式为:

其中:

因为NEST的有效报价有区块间隔,上述公式可调整为:

声音 | ShapeShift首席执行官:目前的市场行为表明市场上的那些做空者正处于兴奋阶段:ShapeShift首席执行官Erik Voorhees发推认为目前的市场行为表明市场上的那些做空者正处于兴奋阶段。市场目前的价格行动可能会带来额外的投机浪潮,因为投资者正继续试图猜测数字货币价格的底部。[2018/11/26]

以此权重计算,最新的50个波动率占90%以上的权重,各数值的影响力随时间呈指数式递减,时间越靠近当前时刻的数据影响力越大,σ就是我们所输出的波动率的指标。2.2移动均价的计算与衡量常见的移动平均包括简单移动平均、加权移动平均和指数平滑移动平均等,它们的主要区别是计算平均值的公式不同。简单移动平均是对某个时期内时间数列的过去数据一个不漏地全部加以同等利用,加权移动平均则给予近期价格更大的权重,远期的价格更小的权重,而指数平滑法则兼容了简单移动平均和移动平均所长,不舍弃过去的数据,但是仅给予逐渐减弱的影响程度,即随着数据的远离,赋予逐渐收敛为零的权数。指数平滑法均价是布朗所提出,布朗认为时间序列的态势具有稳定性或规则性,所以时间序列可被合理的顺势推延;他认为最近的过去态势,在某种程度上会持续到最近的未来,所以将较大的权数放在最近的价格。同时像指数平滑法计算波动率一样,指数平滑法计算均价也只需要保留上一个的均价和最近的一个价格数据即可,运行简单,减少内存空间和gas费的消耗。所以NESTv3.5采用指数平滑法来计算均价指标,具体计算方法如下:
分析 | XRP期货合约持仓情况 做空主力优势明显:金色盘面分析:据OKEX数据显示,目前做多账户42%,做空账户57%,多头平均持仓比例22.05%,空头平均持仓比例21.05%,从数据看,做空主力账户优势明显,短线做多压力较大。截至发稿时,XRP季度1228合约价格为0.571美元,现货价格为0.569美元,升水0.002美元,虽然升水不大,但是反映出市场乐观情绪。提醒投资者理想看到价格波动,市场有风险,需要做好风险控制。[2018/9/24]


三、应用与意义
3.1波动率的应用与意义1)波动率是衍生品定价最关键的参数之一。对于衍生品金融工具来说,无论是期权、或是更加复杂的金融衍生品,标的物价格波动率都影响衍生品价格的重要因素,比如最著名的布莱克-斯科尔斯期权定价模型,其中就代表标的物的波动率,波动率是影响期权价格的重要因素之一,所以对于下游DeFi的期权项目,波动率对其来说都是刚性需求数据。图表3:Black—Scholes期权定价公式

图表4:期权价格影响因素

2)波动率也是风险管理技术最关键的参数之一。波动率就是预期收益的标准差,反映了资产的风险水平,是风险的测度指标。而我们知道所有去中心化金融活动都是以管理和处理风险为中心的,所有DeFi项目都要有风险控制,预期市场波动或规避风险,波动率是不可或缺的指标。比如对于下游DeFi借贷项目,由于抵押资产具有极强波动性,抵押率或清算线的制定与选择极其重要,决定了项目的风险程度,同时又决定了用户资产的利用率,最优的抵押率或清算线的制定与选择要考虑的首要指标就是资产的波动率,例如抵押资产是USDT,其价格波动率较小,那么抵押率和清算线应该低一些,如果抵押资产是NEST,其波动率较大,那么抵押率和清算线就要高一些。同样对于数字资产抵押型稳定币项目以及NEST社区规划的平行资产项目,其重要参数的制定与选择也都离不开波动率指标,比如QIAN稳定币项目,其的启动充足率公式就只取决于计算出的实时波动率,基于波动率设立一套自动化调节机制,在用户资产利用率与清算风险之间寻求最佳平衡,据了解未来NEST生态平行资产项目的抵押率和平仓线也很大程度上取决于抵押资产的波动率。3)基于波动率可以直接设计DeFi金融产品,比如波动率期货、波动率掉期等,波动率交易是指基于对波动率的分析和预测而进行的交易,它削弱了价格变动对策略的影响,主要依赖波动率本身或波动率背后所蕴含的波动形式来获取利润,有其独特吸引力,市场需求很大,但目前DeFi市场上还没有基于波动率的金融产品协议。3.2移动均价的应用与意义1)对于某些对价格实时性要求不高的DeFi项目,它们更倾向于采用均价而不是实时价格,这是因为实时价格时间序列的数值受周期变动和不规则变动的影响,起伏较大,不易显示出发展趋势,而均价可以消除这些因素的影响,均价有时可能更能准确的反应市场的供需关系。比如抵押资产的清算采用均价来清算或许更合理更公平。比如最近比较火的永续合约项目PerpetualProtocol,其指数价格的喂价来源就是预言机提供的时间加权平均价格。2)对于NEST预言机来说,移动均价格预言机相对实时价格预言机,其对预言机操纵攻击有更强的抵抗力,所以对价格抗攻击性要求更高的DeFi项目可以采用均价。3)其实当前第二大预言机Uniswap价格预言机系统,其提供的就是时间加权平均价格,而不是实时的价格数据。4)均价还可以用于排除异常价格数据。根据NEST预言机提供的价格数据,价格偏差高出或低于2.5%以上的概率仅为0.19%。因此可以用公式:

来限制正常价格取值范围,用来排除异常价格数据。3.3总结NESTProtocol升级到3.5版后,引入了移均价格和波动率预言机,供链上开发者使用,正是NEST开发者在深入思考和调研后,为满足下游DeFi对预言机的真实性需求,对NESTProtocol所作的一次重要的升级迭代,本质也是NEST直面需求的必要选择。
编者按:本文来自区块律动BlockBeats,Odaily星球日报经授权转载。作为团队是否在「做事」的重要指标,虽然GitHubCommits和开发者活跃度无法完全说明区块链项目现状,但这些数据.
Odaily星球日报译者|念银思唐在过去的三年里,Tether一直主导着稳定币市场,官方最新数据显示,已有接近270亿美元的USDT在流通.
散户抱团上演逼空大战,先有机构眼中的“垃圾股”上涨20倍,后带meme属性的狗狗币24小时内被拉升1000%.
DeFi是区块链在近期落地的一个重要方向,经过过去几年的发展、以及去年的爆发,目前已成为加密生态系统中最前沿、最火热的领域之一.
编者按:本文来自巴比特资讯,作者:Kyle,星球日报经授权发布。去年,以太坊区块空间的使用需求出现了激增。最近的关注导致以太坊网络的交易费用有时上升到令人痛苦的水平.
这一段时间以来,资产代币化和加密货币的概念在传统金融领域获得了很大的吸引力,全球各地越来越多的机构组织开始拥抱区块链及加密货币,越来越多的国家,尤其是欧洲.