DeFi治理是近期DeFi行业讨论热度最高的话题之一,从Uniswap通过提案为DeFi教育基金资助100万UNI,到Sushiswap提议向部分投资机构以折扣价出售代币,再到前几日Aave上架BOND代币的提案被少数几个巨鲸地址以99%的反对率否决,引起公众对部分DeFi寡头滥用治理权力的担忧。ImmutableCapital合伙人ZaheerEbtikar近日在Deribit博客对DeFi治理过程暴露的问题进行了分析,他认为大部分DeFi协议的治理参与度普遍过低,原因包括参与成本过高、提案过多,此外也存在治理权力过度向代币持有者倾斜,而不是社区主要贡献者的问题,同时也提出了相应的解决思路。作者|ZaheerEbtikar编译|胡韬又到了一年中的那个时候,校园里那个讨厌的孩子在校园到处刷脸,要求你投票。你读了竞选传单上的承诺清单,想知道为什么有人要为这些学生会职位而烦恼。该游戏反对任何形式的治理工作:没有人真正关心做出的决定,除了少数人;真正的权力掌握在少数人手中——教师和行政人员。就像学校政府一样,DeFi治理很大程度上被视为一种诡计,让参与者相信这个过程是民主的。实际上,很多决策通常是由高层做出的,并以牺牲最终用户为代价。一种迫使贵族成为「天使」的制度,通常不具备长期去中心化治理的可行性。01
Fantom链上DeFi总锁仓量突破80亿美元,创历史新高:1月20日消息,据 Defi Llama 数据显示,当前 Fantom 链上 DeFi 总锁仓量达 84.4亿美元,创历史新高。目前,Fantom DeFi 总锁仓量低于以太坊(1381.8 亿美元)、Terra(184.9 亿美元)、BSC(141.5 亿美元)、Avalanche(104.2亿美元)、Solana(99.7 亿美元),公链中排名第 6 位。[2022/1/20 9:01:31]
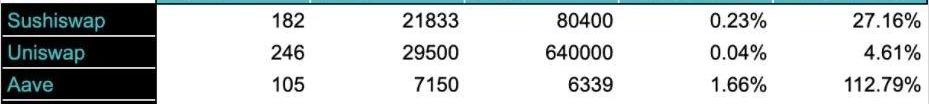
为什么大部分用户没有参与盯着外面的竞选演讲,你意识到大多数人真的不会被校园周围发生的事情所困扰。过多的市政厅是因为你并不真正关心或没有足够的带宽来参加的。就其最简单的形式而言,加密货币与世界其他地区面临着同样的问题,而且主要来自小型政府。绝大多数人根本不会参与,以下数据可以证实:
DeFi 概念板块今日平均涨幅为8.03%:金色财经行情显示,DeFi 概念板块今日平均涨幅为8.03%。47个币种中47个上涨,0个下跌,其中领涨币种为:FOR(+24.75%)、COMP(+18.93%)、YFV(+18.85%)。领跌币种为:DMG(-6.34%)。[2021/2/25 17:50:37]

当前协议治理最明显的问题是最终投票者的利益,他们为什么要花时间投票?一般来说,无论是出于经济准则还是道德准则,大多数人都有参与治理的动机。同样,想要获得更好治理结果的协议应该开始考虑积极的方法来激励良好的治理。简单的解决方案包括使用少量的代币金库来激励协议的专门成员对关键事项进行投票,并有助于找到理解新提案的有意义的方法。关于协议决议的主要问题之一来自大量提案的执行不力。任何参与治理的人的好处是他们都可以提议对核心协议的功能进行更改。由此产生的问题是,无意义的和有趣的提案混杂在无休止的治理提案中,最后有太多的提案让大多数人关心它们。相反,让受激励的成员达到新提案的法定人数并筛选决议清单可能是有益的。最后,Gas成本和较小用户的问题。一般来说,代币创始人和DAO应该尽可能地将最小参与者的进入障碍降至最低,这包括Gas交易成本。在基础层面,创始人可以通过使用部分代币资金来激励良好治理,为低于特定阈值的委托人补贴Gas费用。02
DeFi 概念板块今日平均涨幅为3.09%:金色财经行情显示,DeFi 概念板块今日平均涨幅为3.09%。47个币种中35个上涨,12个下跌,其中领涨币种为:AKRO(+21.85%)、FOR(+19.62%)、BZRX(+18.55%)。领跌币种为:CRV(-10.11%)、AST(-9.10%)、LINK(-7.55%)。[2021/1/17 16:21:54]
寡头
寡头和贵族的治理形式似乎是原始政府最常见的自然形式之一。平民应该将他们的声音转移给精英和知识渊博的人的想法在任何社会中都是一个有吸引力的想法,但很少会为大多数人带来更好的结果。DeFi也不例外。与任何新领域一样,早期的DeFi大部分都是由希望支持新形式金融技术的风险投资家发起的。但伴随着DeFi的成长和发展,出现了一些关于协议真正去中心化的结构性问题,主要是因为它们无法进行连贯的治理,最终不会像卡特尔一样运作。在DeFi中,治理通常以投票方式进行,提案必须达到一定的投票门槛才能通过。这些投票通常由代币所有权分配。一个实体持有的代币越多,它拥有的选票就越多,从而有更强的影响力。在纸面上,这似乎是标准的民主。但这个简单的机制包含了DeFi治理萎靡不振的种子。代币和开发流程如下:
DeFi播报丨DeFi总市值117.5亿美元 OKEx平台DHT领涨:据OKEx统计,DeFi项目当前总市值为117.5亿美元,总锁仓量为119亿美元。行情方面,今日DeFi代币普涨,OKEx平台DeFi币种涨幅前三位分别是DHT、UNI、JFI。截至13:30,OKEx平台热门DeFi币种表现如下:[2020/9/18]

现在这不适用于所有代币,但通常代币会转移到拥有最多资源的实体手中。问题是这个过程通常会扼杀最小的用户,即使他们可能会发现协议或项目最有用。这个问题的一个简单解决方案是Compound用他们的投票委托给治理家创造的产品。这里的想法是,社区可以将他们的选票委托给某些代表他们行事以进行治理的家,而较小的用户可以集中他们的选票。问题是,在当今世界,Compound的治理仍然在很大程度上反映了一个非常重的选民阶层,其中最大的5个持有者中有4个是风险投资家。
DeFi中锁定的代币总市值再度突破10亿美元:金色财经报道,DeFi中锁定的代币总市值时隔三个月后再度突破10 亿美元。DeFi中锁定的BTC数突破6000枚,据btconethereum数据,截至6月4日,以太坊上的比特币代币数量已达5271枚,且自5月13日开始大幅增长,从2600枚翻倍至5200枚。如果加上闪电网络900多枚的BTC,DeFi中锁定的BTC数已经超过6000枚了。目前,DeFi中锁定的BTC主要有8种,分别为闪电网络BTC、WBTC、HBTC、imBTC、sBTC、pBTC、tBTC和renBTC。[2020/6/5]

问题在于,该措施仍然没有积极地让小型协议用户很容易地团结在少数用户之后,并且仍然导致少数用户拥有大量投票权。有趣的是,在一些治理结构中,代币的大持有者仍然不参与治理论坛,这使得大量选票变得无用或容易被其他用户在有争议的提案中左右。总的来说,这个过程疏远了大多数用户,而牺牲了那些「in」的用户。03
贡献证明
协议不应专注于最大的代币持有者,而应寻求所谓的奉献证明,但该术语不应作为一种共识机制,而应适用于治理权重。从理论上讲,治理的结构应该既关注社区参与度最高的主要用户,也关注最大的代币持有者。一个简单的机制可能是治理可以通过代币分配进行拆分,而是像多类股票一样发行,其中所有权和投票权不是平均分配的。这个过程可以通过这样一种方式来完成,即限制投票权稀释大型不活跃参与者,并为新提案优先考虑较小投票集团的最低限度。除此之外,协议可以利用其最长的持有者/利益相关者来获得或多或少的投票代币/信用,以激励长期参与者更认真地对待治理问题。04
结论
DeFi仍处于起步阶段,是我们生态系统中刚刚起步的一部分,它已逐渐满足其大部分需求和使用。在此过程中,治理和人民参与等挑战是可预期的,也是显着增长的标志。如果该行业能够采取足够的措施来创建一个简化的提案和变更流程,降低小型参与者的进入门槛,并激励更广泛的生态系统参与其协议的治理,那么我们很可能会看到一个完全变革的系统实现去中心化自主决策。
作者|秦晓峰出品|Odaily星球日报 据TheBlock消息,以太坊旧版本客户端出现BUG,可能导致以太坊网络遭遇「双花攻击」甚至分叉。但实际情况可能并不严重,并不会发生分叉.
加密货币行业一直受到机会主义子的困扰,从那些通过Twitter发布性赠币的推文(比如2018年10月.
作者:0x21 上周末,NFT交易平台OpenSea再次成为行业绝对热点,日交易量连续两日破1亿美金。截至8月22日,8月的总交易额已是为7月整月五倍.
NFT为加密世界带来了稀缺性和多样性,同时也带来了新的泡沫,但NFT的火热的确为区块链带来了崭新的玩儿法和应用场景.
8月19日,总部位于日本的加密货币交易所Liquid热钱包遭攻击后,艾贝链动针对当前机构级热钱包的几种方案存在的安全风险做了分析.
在各个项目纷纷将预言机功能外包给ChainlinkPriceFeeds等去中心化解决方案后,DeFi才真正迎来了创新潮。开发者再也不需要花时间开发核心后端基础架构,而是全心全意创新DeFi产品.