uniswap V3一公布就引发广泛关注。相对V2来说,逻辑和代码都复杂一些。V3的核心是通过盘口区间提供流动性(集中式流动性),解决LP提供流动性时的资金利用率的问题。什么是资金利用率?V3如何推导区间流动性的计算公式?如何理解流动性?如何计算swap费用?本文先从V3技术白皮书详细分析开始。
先给出一些uniswap官方有关V3的资料:
V3官方介绍
https://uniswap.org/blog/uniswap-v3/
技术白皮书
https://uniswap.org/whitepaper-v3.pdf
智能合约代码
https://github.com/Uniswap/uniswap-v3-core
https://github.com/Uniswap/uniswap-v3-periphery
推荐先认真查看技术白皮书,再看智能合约代码,最后再对照官方介绍。理解了技术白皮书,代码非常容易理解。在技术白皮书的第一章总结了uniswap V3的技术特点,最核心的概念是"Concentrated Liquidity" (集中式流动性)。
资金利用率
先看看uniswap V2的资金利用率:

上图为资金池中的x/y的量变化曲线。资金池中的当前价格在c点,并且假设会在a价格点和b价格点之间波动。从c点向a点滑动,消耗最大y_real,从c点向b点滑动,消耗最大为x_real。也就是说,当前价格c点,在a点和b点之间震荡的话,最大只需要消耗x_real和y_real。理论上只要提供x_real和y_real就足够了。而事实上,如上图所示,在价格c点,分别提供了大于x_real和y_real的x和y。明显可以看出,x-x_real和y-y_real的资金在这种情况下是永远用不上的,也就称为闲置资金。
在这种情况下,资金利用率为x_real/x或者y_real/y。如果价格波动非常小的话,资金利用率是非常低的。uniswap V3就是尝试解决资金利用率低的问题。想法比较简单,所有资金可以只添加到某个区间,只添加到有可能价格波动到的区间范围。如何在某个区间添加流动性并提供swap功能是uniswap V3的重点。先从Virtual Reserves说起。
虚拟资金池(Virtual Reserves)
uniswap的交易采用的乘积固定模型(x*y=k)。所谓的虚拟资金池(Virtual Reserves),是指还在乘积固定曲线上,只提供某个区间流动性的资金池:
去中心化流媒体平台Audius新增支持展示Solana上的NFT:金色财经报道,基于区块链的音乐流媒体平台Audius周四宣布,它已经与Solana NFT集成,允许其超过600万用户展示来自Solana图书馆的数字收藏品。集成将通过Phantom、Solana的多链钱包和浏览器扩展进行。新功能将提供给Audius账户持有超过100个平台的原生AUDIO代币的银级配置文件。Audius的联合创始人兼首席执行官RoneilRumburg表示,此次合作为Solana提供了第一个“NFT发现层”,并补充说:来自Metaplex的工具以及Audius与Phantom的集成使得提供Solana支持成为可能,同时保持Audius众所周知的可用性标准。(cointelegraph)[2021/9/2 22:55:58]

图中的墨绿色的曲线就是虚拟资金池满足的乘积固定曲线。事实上需要的资金的曲线如图中的橘黄色。橘黄色的曲线公式如下图:

你可以想象成虚拟资金曲线在x/y轴进行平移,使得a/b点和x/y轴重合。也就是用一定量的资金就能达到“虚拟”的交易曲线的效果。
如何计算在某个区间提供虚拟资金池,先要从深入理解流动性开始。
流动性(Liquidity - L)
乘积固定的交易模型,满足资金池中的两种代币金额满足:x*y = K。如果设定K=L^2的话,x*y = L^2。L就是我们说的流动性。由乘积固定的交易模型得出如下的公式:

在已知L和sqrt(P)的情况下,也能推导出资金需求量x和y。

通过公式6.6,在流动性不变的情况下(不添加删除流动性),流动性可以看成是单位“价格波动”的y资金量的变化。”价格波动“打上引号是因为事实上是sqrt(P)的变化。

这个是uniswap V3核心公式(6.7),用相对值(资金和价格相对值)来计算流动性。所谓的流动性,就是单位“价格变化”的资金量。在一定的交易量的情况下,如果流动性好,价格变化就小,流动性不够的话,价格波动就大。
东营市首起利用黑客技术盗窃比特币案件告破:12月16日消息,东营市局东营分局侦破一起“黑客”犯罪案件,也是东营市“净网”行动以来侦破的首起利用黑客技术盗窃比特币案件。2020年7月13日,东营分局网安大队接群众报警称其网络账户疑似被人非法入侵,帐号内价值三万余元的比特币被盗走。根据报警人陈述,其账号被盗的网站是一境外网购网站,可使用比特币进行交易,这是东营分局首次接到此类虚拟货币被盗的案件。综合相关线索,民警最终锁定但某某有重大嫌疑,并火速赶往浙江台州将其抓获。但某某对利用黑客技术入侵云服务器盗取他人账户内比特币的行为供认不讳,目前犯罪嫌疑人被东营分局依法采取刑事强制措施,案件正在进一步办理中。[2020/12/16 15:22:08]

特别注意的是,一个区间上的流动性和V2的普适的流动性不同。一个区间上的流动性,重点在“区间上”。不同区间的流动性没有可比性。V2的流动性和区间上的流动性的区别如下图:

V2的流动性是“普适”的,在所有价格点上流动性相同。V3的流动性是由一系列不同区间上的流动性组成。相对来说,在当前价格左右的流动性比较高。流动性提供者LP只有提供了可供交易的流动性才能获取交易费。为了获取更多的交易费,为了提高资金的利用率,流动性提供者会将资金提供在合理的价格波动范围内。也就是说,在某个区间swap交易产生的手续费,只有该区间流动性提供者才能获取手续费。为了计算每个区间获取的手续费,引入了Tick的概念和计算方法。
Tick
在区间上提供流动性,带来很多复杂的情况:区间和区间的重叠覆盖。因为不同区间的流动性没有可比性,某个交易费并不能混入到流动资金中,等删除流动性时候一并提取。为了解决这个问题,uniswap V3引入了Tick的概念。交易费用实时结算并单独记录,并不混入流动资金中。虽然整个区间和区间的流动性没有可比性,但是,在具体的某个价格点上(一个价格片上),流动性是可比较的。uniswap V3将整个价格范围(负无穷到正无穷)分成一个个的Tick(价格点):

后一个价格点的价格是前一个价格点价格基础上浮动万分之一。

每个Tick也有一个唯一的序号。区间(Position)可以由两个Tick表示。逻辑上交易手续费可以一个个的Tick计算,并在每一个Tick上根据流动性的占比进行交易分配。先看看一个Tick范围的swap的计算。
Tick内的SWAP
假设有一个很小的量的y,需要swap为x。通过6.13的公式,可以计算出因为y的变化导致的价格变化。

再利用6.15的公式可以算出换取的x的量。

uniswap V3针对同样的交易对设置了不同的交易费:0.05%,0.3%以及1% (还可以添加其他费率)。如果是从Y换取X,则在换取之前先扣除手续费再进行上述的交换。
在同一交易池中只支持一种费率。也就是说,在一个交易池中支持不同的价格区间,但是都是同样的费率。如果需要添加同样交易对的不同交易费的交易池,必须创建新的交易池。
接下来,深入讲解一下 添加/删除流动性以及交易费用的计算逻辑。
V3的添加/删除流动性是当前价格情况下在某个区间添加或者删除流动性。所有的流动性添加/删除流动性采用如下的公式:

注意,价格变化并不是指区间的大小,而是在某个区间上提供流动性,相对当前价格,“需要相应资金变化”对应的价格变化。
分为三种情况,想要添加的流动性区间和当前价格的关系。
当前价格处于流动性价格区间 (il <= ic < iu)

因为价格在区间范围内,如果价格滑动到il,则需要提供y资金。如果价格滑动到iu,则需要提供相应的x资金。所以,对于delta_Y来说的,价格变化为sqrt(P) - sqrt(p(il));对于delta_X来说,价格变化为1/sqrt(P) - 1/sqrt(p(iu))。
当前价格低于流动性价格区间

因为当前价格远低于il,即使从当前价格向iu滑动,也只需要x的资金,不需要y的资金。所以,在这种情况下,delta_Y = 0。因为从il滑向iu需要整个区间的x的资金,对于delta_X来说,价格变化为1/sqrt(il) - 1/sqrt(p(iu))。
当前价格高于流动性价格区间
和第一种情况类似,不重复分析了。
Swap交易费用
uniswap最复杂的逻辑是计算交易费用并分配。在添加和删除流动性之前需要将相应的交易费用提取。
Tick上的总流动性
在某个Tick上可以存在多个区间。在计算交易费用时,需要平摊这些费用给所有在这个Tick上多个区间的总的流动性。在每个区间的边界的Tick上记录下delta_L(所有以这个Tick为边界的区间的流动性总和)。
存在一个全局状态:liquidity,保存当前价格对应Tick的流动性总和。当价格波动,穿过某个Tick时,会进行流动性的增加或者减少(取决于价格波动方向)。举例来说,价格从左到右穿过区间,当穿过区间的第一个Tick时,流动性需要增加,穿出最后一个Tick时,流动性需要减少,中间的Tick都没有流动性的增加和减少(delta_L为0)。

区间(Position)上的交易费用率
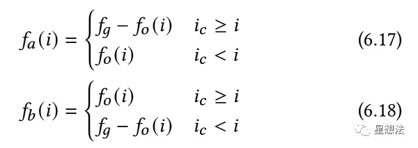
计算一个区间上的交易费用率,采用总的费用率减去区间外的费用率的方法。在一个区间的边界Tick上记录feeGrowthOutside。所谓的feeGrowthOutside,就是“另外”一个方向上总的费用率。另外的一个方向是相对穿过当前Tick的方向而言。当价格从左到右穿过一个Tick,feeGrowthOutside指的是Tick左边所有区间的费用率。简单的说,就是价格要去方向的相反方向所有区间的费用率。feeGrowthOutside用fo表示。因为fo是一个Tick的两个方向的总的费用率,两个方向的费用率的总和肯定是等于fg(全局的费用率)。所以当穿过一个Tick时,这个Tick上的fo要进行翻转:

当一个区间创建时,区间边界上Tick的fo需要初始化:

如果当前的价格大于Tick的价格时,因为即使当前价格在设置的区间内,但是之前费用也不会分到,所以,可以简单的假想为所有的费用发生在Tick价格之下,也就是fo=fg。如果Tick的价格大于当前价格,价格还没有穿过Tick,因为假设了之前所有发生的费用发生在Tick价格之下,Tick之上是没有费用的,所以fo=0。在理解了这些逻辑的基础上,在swap的过程中,随着价格的波动,一个区间上,超过最高Tick的费用率以及低于最低Tick的费用率可以用如下的方式计算:

以低于最低Tick的费用率的计算为例,如果ic>=i (当前的价格是高于最低Tick的),低于Tick的所有的费用率就是fo(定义如此)。如果ic<i的情况下,fo记录的是高于Tick的所有费用率,所以需要翻转,即fg - fo。在获取了一个区间外的所有费用的情况下,计算本区间的费用率:

获取的费用率的基础上,用费用率乘以区间的流动性可以计算出该区间收取的费用。
uniswap V3版本核心思想是流动性集中。流动性提供者可以在某个区间提供流动性,提高资金使用率。在某个区间获取的交易费,由所有在该区间的流动性提供者均分。uniswap V3设计了区间粒度-Tick,并且推导了流动性添加/删除以及费用计算的过程。在之基础上,uniswap V3也更新了价格预言机的实现。
4月7日,V神的网站更新了一篇名为《分片为何如此出色:揭开技术属性的神秘面纱》的文章,其中提到:分片是以太坊可扩展性的未来,它将是帮助生态系统每秒支持数千笔交易,并允许世界上大部分地区以可承受的成本定期使用该平台的关键。
前两天与?个 MakerDAO 早期?持者喝酒,?佬解答了我?个?直没想明?的问题,?融机构的能?应该是创造信?,优化资?配置,但像 MakerDAO 这种超额质押,更接近于典当铺的形式,资?利?效率并不?,与他的去中?化央?远景不符。
4月10日,由金色财经主办,波场TRON总冠名,HBTC、SumSwap、SubGame首席合作企业的“2021共为·创新大会”在上海举办。大会以“DeFi的创新进阶”为主题,汇聚百家优秀区块链企业和众多行业大咖,共同探讨Defi生态、波卡、NFT、交易所公链、ETH 2.0、Layer2六大赛道话题。
4月13日,0x协议正式上线由ZRX持币者组成的去中心化自治组织0x DAO。 0x DAO合约地址 (https://etherscan.io/address/0xf1ec7d0ba42f15fb5c9e3adbe86431973e44764c) 已部署到主网,初始金库含有200万枚ZRX(约410万美元)。 金色财经带你一文速览0x DAO要点。
在《奇葩说》曾经的一道辩题辩论中,李诞曾说,「比蒙娜丽莎更美的,是燃烧中的蒙娜丽莎。」 李诞的话本来就是是舞台上的演戏台词,没人当真,但在 NFT 领域,烧画这个动作,似乎真的成了某种流行。
2020年4月至6月,Ledger 27万名硬件钱包用户的个人数据被窃取,这一重大数据泄露事件引发了对Ledger和Shopify?的集体诉讼。 4月6日,网络钓鱼受害者John Chu和Edward Baton在加州对加密钱包供应商Ledger及其电子商务合作伙伴Shopify提起诉讼。